Асимптоты графика функции
Список вопросов теста
Вопрос 1
Выберите верное утверждение.


Варианты ответов
- 1
- 2
- 3
Вопрос 2
Точка х0 функции f(x) называется точкой разрыва II разрыва, если…

Варианты ответов
- нет по крайней мере одного конечного одностороннего предела функции в этой точке.
- в этой точке функция f(x) имеет конечные односторонние пределы слева и справа.
- в этой точке функция f(x) имеет конечный односторонний предел только справа.
Вопрос 3
Верно ли, что в тех точках х = х0, где функция у = f(x) терпит разрыв II рода, она имеет вертикальные асимптоты с уравнением х = х0?

Варианты ответов
- Да
- Нет
Вопрос 4
Укажите графики, на которых функция имеет вертикальные асимптоты.


Варианты ответов
- 1
- 2
- 3
- 4
Вопрос 5
Как называется асимптота графика функции у = f(x), если она пересекает ось Ох не под прямым углом?

Варианты ответов
- Вертикальная
- Горизонтальная
- Наклонная
Вопрос 6
Асимптота графика функции у = f(x) называется горизонтальной, если она …

Варианты ответов
- пересекает ось Ох под углом φ = π/2
- параллельна оси Ох
- пересекает ось Ох под углом φ ≠ π/2
- параллельна оси Оу
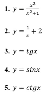
Вопрос 7
Выберите функции, которые имеют бесчисленное множество вертикальных асимптот.


Варианты ответов
- 1
- 2
- 3
- 4
- 5
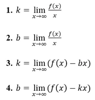
Вопрос 8
Пусть график функции у = f(x) имеет наклонную асимптоту y = kx + b. Тогда по каким формулам определяется угловой коэффициент и свободный член асимптоты?
Выберите эти формулы.


Варианты ответов
- 1
- 2
- 3
- 4
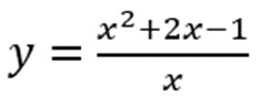
Вопрос 9
Известно, что функция
имеет вертикальную асимптоту.
Найдите ее уравнение.

Варианты ответов
- у = х – 2
- у = 3 + 2х
- у = х + 2
- у = 2 – х


