Арены
Список вопросов теста
Вопрос 1
В схеме превращений

веществами X и Y являются:
Варианты ответов
- Уксусный альдегид
- Бензол
- Этилен
- Ацетилен
- Этиловый спирт
Вопрос 2
Бензол в отличии от метана
Варианты ответов
- Вступает в реакции замещения
- Окисляется кислородом воздуха
- Вступает в реакции присоединения
- Имеет запах
- Относится к углеводородам
- При горении коптит
Вопрос 3
Бензол взаимодействует с каждым из веществ в ряду:
Варианты ответов
- HCl, KMnO₄(р-р), KOH
- Cl₂, H₂, HNO₃
- C₂H₂, NaCl, I₂
- HNO₃, H₂O, Br₂
Вопрос 4
Бензол и ацетилен
Варианты ответов
- Представляют собой жидкости при нормальных условиях
- Являются газами при нормальных условиях
- Обладают характерным запахом
- Горят коптящим пламенеем
- Вступают в реакции полимеризации
- Реагируют с галогенами
Вопрос 5
Эта реакция называется
Варианты ответов
- циклизацией
- ацилированием
- изомеризацией
- алкилирование
Вопрос 6
Бензол может быть получен
Варианты ответов
- каталитическим дегидрирование циклогексана
- тримеризацией ацетилена
- дегидроциклизацией парафиновых углеводородов
- всеми перечисленными способами
Вопрос 7
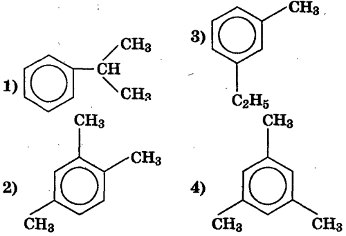
Мета-ксилолу соответствует формула
запишите цифру
Вопрос 8
Фенилом является радикал
запишите цифру ответа
Вопрос 9
Число изомеров трихлорбензола равно
Варианты ответов
- 2
- 3
- 4
- 5
Вопрос 10
В результате превращений
,
веществом Х3 является
Варианты ответов
- сульфобензол
- нитробензол
- бензол
- сульфонитробензол
Вопрос 11
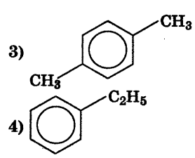
Название углеводорода
Варианты ответов
- 2-этил-1,4-диметилбензол
- 1,4-диметил-2-этилбензол
- 1,4-диметил-3-этилбензол
- 3-этил-1,4-диметилбензол
- 1,4-диметил-5-этилбензол
Вопрос 12
Гексахлоран получают
Варианты ответов
- замещение всех атомов водорода в этане на хлор
- замещением всех атомов водорода в гексане на хлор
- хлорирование бензола на свету
- замещение всех атомов водорода в бензоле на хлор
- хлорирование бензола с катализатором
Вопрос 13
Ароматический углеводород имеет формулу С9Н12, при окислении этого вещества перманганатом калия образуется бензолтрикарбоновая кислота, а при бромировании в присутствии FeBr3 образуется только одно монобромпроизводное. Исходный ароматический углеводород имеет строение:
Запишите цифру ответа
Вопрос 14
При окислении толуола получают
Варианты ответов
- бензиловый спирт
- фенол
- бензойную кислоту
- малеиновый ангедрид


