Алгебра 9 класс. Промежуточная аттестация. 2 вариант.
Список вопросов теста
Вопрос 1
Какое из чисел является решением уравнения \(x^2-9x-10=0\)
Варианты ответов
- 1
- 9
- -10
- -1
Вопрос 2
Найти нули функции \(y=\left(6-x\right)x\)
Варианты ответов
- 0; 6
- -6; 0
- 6
- 0
Вопрос 3
Разложите квадратный трёхчлен \(2x^2-3x-2\) на линейные множители
1)\(2\left(x+2\right)\left(x-\frac{1}{2}\right)\)
2) \(\left(x-2\right)\left(2x+1\right)\)
3) \(\left(x+2\right)\left(x+\frac{1}{2}\right)\)
4) \(\left(\left(x-2\right)2x-1\right)\)
Варианты ответов
- 1
- 2
- 3
- 4
Вопрос 4
Найти координаты вершины параболы, заданной формулой \(y=2x^2-8x+6\)
Варианты ответов
- (2; -2)
- (-2; 2)
- (-1; -2)
- (-2; 0)
Вопрос 5
Уравнение оси симметрии параболы \(y=2x^2-7x\ +1\) имеет вид
1) \(x=\frac{4}{7}\)
2) \(x=\frac{7}{4}\)
3) \(x=-\frac{4}{7}\)
4) \(x=-\frac{7}{4}\)
Варианты ответов
- 1
- 2
- 3
- 4
Вопрос 6
Найти корни квадратного трёхчлена \(5x^2-7x+2\)
Варианты ответов
- -1; 0.4
- 1; -0.4
- 1; 0.4
- -1; -0.4
Вопрос 7
Решить неравенство: \(3x^2-4x-7\le0\)
1) \(\left[-1;2\frac{1}{3}\right]\)
2) \(\left(-\infty;\ +\infty\right)\)
3) \(\left(-1;\ 2\frac{1}{3}\right)\)
4) \(\left(-2\frac{1}{3};\ 1\right)\)
Варианты ответов
- 1
- 2
- 3
- 4
Вопрос 8
Ордината вершины параболы \(y=\left(x-2\right)^2+3\) равна
Варианты ответов
- -2
- 3
- 2
- -3
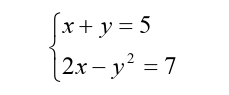
Вопрос 9
Какая из нижеуказанных пар чисел является решением системы уравнений 
Варианты ответов
- (-3; 2)
- (1; 4)
- (3; 2)
- (8; -3)
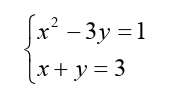
Вопрос 10
Решите систему уравнений: 
В ответе запишите сумму корней системы
Варианты ответов
- -3
- 3
- -10
- 10


