****8****с****о***ч****
Список вопросов теста
Вопрос 1
Диагональ параллелограмма образует с двумя его сторонами углы 230 и 490. Найдите больший угол параллелограмма.
Варианты ответов
- 49
- 72
- 108
- 131
- 157
Вопрос 2
Дополни предложение:
Четырехугольник, у которого две стороны параллельны, а две другие не параллельны называется...
Вопрос 3
Установи истинность/ложность данных утверждений:
Варианты ответов
- Трапеция, у которой есть прямой угол, называется прямоугольной
Вопрос 4
Установи истинность/ложность данных утверждений:
Варианты ответов
- Если у трапеции углы при основании равны, то она равносторонняя
Вопрос 5
Установи истинность/ложность данных утверждений:
Варианты ответов
- Если у трапеции диагонали равны, то она равнобедренная
Вопрос 6
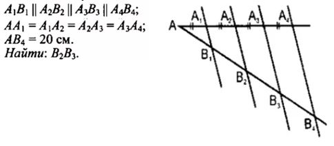
Решите задачу:
Варианты ответов
- 2 см
- 3 см
- 4 см
- 5 см
- 6 см
Вопрос 7
Заполни пропуски в предложении:
____________прямые отсекают на секущих пропорциональные__________.
Пример (прямые, отсекают) записываете через запятую
Вопрос 8
Дана равнобедренная трапеция. Найдите угол 2 трапеции.
Варианты ответов
- 125
- 115
- 55
- 130
- 65
Вопрос 9
Дана равнобедренная трапеция. Найдите угол 3 трапеции.
Варианты ответов
- 115
- 125
- 55
- 130
- 65
Вопрос 10
Дана равнобедренная трапеция. Найдите угол 4 трапеции.
Варианты ответов
- 115
- 125
- 55
- 130
- 65
Вопрос 11
Установи соответствие:
1.
Ромб
2.
Квадрат
3.
прямоугольник
Варианты ответов
- Параллелограмм, у которого все углы прямые.
- Параллелограмм, у которого все стороны равны.
- Прямоугольник, у которого все стороны равны.
Вопрос 12
Средняя линия трапеции равна 7 см, а одно из ее оснований больше другого на 4 см. Найдите основания трапеции.
Варианты ответов
- 2 см и 6 см
- 3 см и 7 см
- 5 см и 9 см
- 8 см и 12 см
- 9 см и 11 см
Вопрос 13
Основания трапеции относятся как 3:5, а средняя линия равна 8 м. Найдите основания.
Варианты ответов
- 5 см и 8 см
- 6 см и 10 см
- 8 см и 14 см
- 10 см и 16 см
- 12 см и 18 см
Вопрос 14
Укажите номер рисунка, на котором изображен параллелограмм.
Варианты ответов
- 1
- 2
Вопрос 15
Сумма углов выпуклого n-угольника равна:
Варианты ответов
- 180(n-2)
- 360
- 180n
- 360n


