11А-2 Электростатика
Список вопросов теста
Вопрос 1
Что называют электрическим зарядом?
Варианты ответов
-
это физическая величина, определяющая интенсивность электромагнитного взаимодействия
-
особый вид материи, свойство которого — действие на заряды с некоторой силой
-
физическая величина, характеризующая силу, действующую на заряд
Вопрос 2
Частицы, имеющие одноименные заряды
Варианты ответов
-
притягиваются
-
отталкиваются
-
не взаимодействуют
-
остаются неподвижными
Вопрос 3
Источником электрического поля является
Варианты ответов
-
заряд
-
частица
-
материя
-
молекула
Вопрос 4
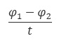
Формула разности потенциалов
Варианты ответов
Вопрос 5
К подвешенному на нити незаряженному металлическому шарику поднесли заряженную палочку. Как изменится его положение?
Варианты ответов
-
отклонится в сторону палочки
-
отклонится в противоположную сторону от палочки
-
останется на месте
Вопрос 6
В Кулонах измеряется
Варианты ответов
-
напряжение
-
заряд
-
напряженность
-
сила тока
-
сила, действующая на заряд
Вопрос 7
Как изменится сила взаимодействия двух точечных зарядов при увеличении каждого из них в 2 раза?
Варианты ответов
-
увеличится в 2раза
-
уменьшится в 2раза
-
увеличится в 4 раза
-
уменьшится в 4 раза
Вопрос 8
Когда мы снимаем одежду, особенно изготовленную из синтетических материалов, мы слышим характерный треск. Какое явление объясняет этот треск?
Варианты ответов
-
электризация
-
электромагнртная индукция
-
трение
-
ионизация
Вопрос 9
В изолированной системе алгебраическая сумма зарядов
Варианты ответов
-
убывает
-
возрастает
-
остается неизменной
-
изменяется
Вопрос 10
Что содержится в положительно заряженном теле?
Варианты ответов
-
избыток электронов
-
недостаток электронов
-
избыток протонов
-
недостаток протонов
Вопрос 11
Электризация тел происходит
Варианты ответов
-
при соприкосновении заряженного и незаряженного тела
-
в результате химической реакции
Вопрос 12
Отрицательный заряд имеют
Варианты ответов
-
протоны
-
электроны
-
нейтроны
-
позитроны
Вопрос 13
Электрическое поле — это
Варианты ответов
-
физическая величина, характеризующая способность тел к электрическим взаимодействиям
-
вид материи, главное свойство которого — действие на заряды с некоторой силой
-
физическая величина, характеризующая силу, действующую на заряд в данной точке
-
физическая величина, характеризующая работу по перемещению заряда.
Вопрос 14
Как называется сила, с которой взаимодействуют заряды?
Варианты ответов
-
притяжения
-
гравитационная
-
отталкивания
-
кулоновская
Вопрос 15
Главное свойство любого электрического поля
Варианты ответов
-
невидимость
-
действие на электрический заряд
-
действие на тела
-
соединяет заряды
Вопрос 16
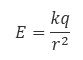
Формула напряжённости электрического поля:








