0-срез. Математика. 11-сынып
Список вопросов теста
Вопрос 1
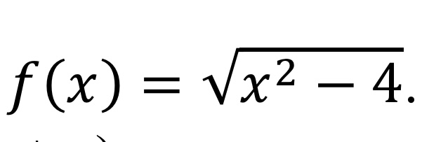
Функцияның анықталу облысын табыңыз.
Варианты ответов
- x∈(−∞;+∞)
- x≤−2 немесе x≥2x
- −2
- x>−2
- x≥0
Вопрос 2
Функцияның графигін түрлендіріңіз: y=∣x−3∣+2
Варианты ответов
- График төмен қарай ығысқан
- График оңға 3-ке, жоғары 2-ге ығысқан
- График солға 3-ке, төмен 2-ге ығысқан
- Теңбүйірлі үшбұрыш шығады
- Түзу шығады
Вопрос 3
Егер f(x)=x2−4x+3, онда f(5) мәні?
Варианты ответов
- 3
- 4
- 6
- 9
- 8
Вопрос 4
Егер , cosx=4/5, x – 1-ші ширектің бұрышы болса, онда sinx=?
Варианты ответов
- 3/5
- 4/5
- 5/4
- 1/2
- √3/2
Вопрос 5
Теңдеуді шешіңіз: sin2x=cosx
Варианты ответов
- x=2πn
- x=πn
- x=πn,x=π/4+nπ
- x=π/4+nπ
- x=π/2+2nπ
Вопрос 6
Қорапта 3 қызыл, 2 көк, 1 жасыл шар бар. Кездейсоқ бір шар алынғанда оның көк болу ықтималдығы:
Варианты ответов
- 1/3
- 1/6
- 1/2
- 2/3
- 2/5
Вопрос 7
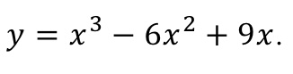
Туындысын табыңыз.
Варианты ответов
- 〖3x〗^2-12x+9
- x^2-12x+9
- 〖3x〗^2-6x+9
- x^2+3x
- 6x-9
Вопрос 8
y=e2x. Туындысы:
Варианты ответов
- 1/x
- ln x
- e^x
- xe^x
- 2e^2x
Вопрос 9
Функция y=x3−3x графигінің экстремум нүктелерін табыңыз.
Варианты ответов
- −1,1
- 0
- √3
- −3,3
- Экстремумы жоқ
Вопрос 10
y=x2−4x+5 функциясының ең кіші мәнін табыңыз.
Варианты ответов
- -5
- 0
- 1
- 9
- 5
Вопрос 11
y=ln(sinx). Туындысын табыңыз.
Варианты ответов
- cosx
- 1/sinx
- ctgx
- tgx
- −cosx
Вопрос 12
Функция . Оның периодын табыңыз.
Варианты ответов
- π
- 2π
- ( π)/2
- ( π)/4
- 4π
Вопрос 13
Кездейсоқ шаманың дисперсиясы қалай анықталады?
Варианты ответов
- M(X)
- E(X)
- D(X)=M(X2)−(M(X))2
- √(M(X))
- P(X)
Вопрос 14
Теңсіздікті шешіңіз:
ln(x-1)\(>\)0
Варианты ответов
- x>0
- x>1
- x>2
- x≥1
- x≥2
Вопрос 15
Функция f(x)=\(\frac{x^2-4}{x^2-1}\) . Оның үзіліс нүктелері қай жерде?\(\)
Варианты ответов
- x=0
- x=±1
- x=±2
- x=−1
- Жоқ
Вопрос 16
Функция f(x)=\(\frac{1}{x}\) . Оның жұп/тақ қасиеті:
Варианты ответов
- Жұп
- Тақ
- Екеуі де
- Екеуі де емес
- Тек оң жақта анықталған
Вопрос 17
Теңдеуді шешіңіз: 2x+1=8.
Варианты ответов
- 1
- 2
- 3
- -1
- 0
Вопрос 18
Функция y=ex⋅(x2+1). Оның туындысын табыңыз.
Варианты ответов
- e^x(2x+1)
- e^x(x^2+2x+1)
- e^x(x^2+2x+2)
- e^x(x^2+2x)
- (x2+1)
Вопрос 19
Егер P(A)=0.4, P(B)=0.5, P(A∩B) = 0.2, онда P(A∪B) мәнін табыңыз.
Варианты ответов
- 0.5
- 0.6
- 0.7
- 0.8
- 0.9
Вопрос 20
Кездейсоқ шаманың мәндері: X={1;2;4}, ықтималдықтары: 0.3,0.4,0.3. Математикалық күтімін табыңыз.
Варианты ответов
- 2.7
- 2.5
- 2.3
- 2.0
- 3.0


