Қысқа мерзімді жоспар
| Ұзақ мерзімді жоспардың тарауы: Мектеп: ОЖББМ №26 5.2 А Жай бөлшектерге амалдар қолдану Мұғалімнің аты-жөні : Айсина Дарига Куттыгалиевна Күні: 14.11.2017 Сынып - 5 Қатысқандар: 17 Қатыспағандар:0 | |||||||||||||||||||||||||||||
| Сабақтың тақырыбы
| Жай бөлшектерді ортақ бөлімге келтіру. Жай бөлшектерді және аралас сандарды салыстыру. (2 сабақ) | ||||||||||||||||||||||||||||
| Осы сабақта қолжеткізілетін оқу мақсаттары (оқу бағдарламасынасілтеме) | 5.1.2.16 Жай бөлшектерді ортақ бөлімге келтіру; Жай бөлшектерді аралас сандарды салыстыру; | ||||||||||||||||||||||||||||
| Сабақтың мақсаты
| Оқушылардың бәрі:Жай бөлшектерді,аралас сандарды ортақ бөлімге келтіруді біледі. Жай бөлшектерді ең кіші ортақ бөлімге келтіріп, координаталық сәуледе кескіндеуді біледі. Оқушылардың көпшілігі: Бөлшектің негізгі қасиетін қолданады, бөлшектерді қысқартады және ортақ бөлімге келтіреді, талдайды. Кейбір оқушылар: ортақ бөлімге келтіруді, аралас сандарды салыстыруды шығармашылықпен қолданады,талдайды, жинақтайды . | ||||||||||||||||||||||||||||
| Бағалаукритерийлері
|
| ||||||||||||||||||||||||||||
| Тілдік мақсаттар | Жай бөлшектің негізгі қасиетін қысқартуда және ортақ бөлімге келтіруде қолданады,салыстырады; Пәнге қатысты лексика мен терминология:Бөлшектің негізгі қасиеті, толықтауыш көбейткіш, ең кіші ортақ бөлім, ең кіші ортақ еселік, аралас санның бүтін бөлігі және бөлшек бөліктеріқысқартылмайтын бөлшек. Диалогқа қатысты тіркестер:бөлшектерді ең кіші ортақ бөлімге келтіру үшін...керек: бөлшектерді салыстыру үщін ...керек. натурал санды жаңа бөлімге келтіру үшін...керек; | ||||||||||||||||||||||||||||
| Құндылықтарға баулу |
| ||||||||||||||||||||||||||||
| Пəнаралық байланыс | Өткен тақырыптармен байланыс, өмірмен байланыс, қазақ тілімен байланыс және тарихи мағлұмат. | ||||||||||||||||||||||||||||
| Алдыңғы білім | Дұрыс және бұрыс бөлшектер ажыратады , жай бөлшектердің негізгі қасиеті, бұрыс бөлшекті аралас санға айналдыру және керісінше, бөлшектерді ортақ бөлімге келтіруді біледі,түсінеді. | ||||||||||||||||||||||||||||
| Сабақ барысы | |||||||||||||||||||||||||||||
| Сабақтың жоспарланған кезеңдері |
Сабақтағы жоспарланған жаттығу түрлері |
Ресурстар
| |||||||||||||||||||||||||||
| Сабақтың басы (10 мин) | Ұйымдастыру бөлімі: амандасу, сабаққа дайындығын тексеру ,жағымды ахуал қалыптастыру Балалар бір-бірімізге көтеріңкі көңіл күй сыйлайық. Қуанамын мен де, (өзімді көрсетемін) Қуанасың сен де, (жанындағы досымды көрсетемін) Қуанайық, достарым, (бір біріміздің қолымыздан ұстаймыз) Арайлап атқан күнге (қолдарымызды жоғары көтереміз)
Біздің сабағымыздың эпиграфы:Абай айтқандай: «Сен де бір кірпіш... Дүниеге кетігін тап та ,бар- қалан!» Мен сендерге сенемін ! ,Сіздің қолыңыздан келеді! – деп сеніммен сабағымызды бастаймыз.
- оқушылардың «жақын арадағы даму аймағын» анықтау мақсатында «Миға шабуыл» өткен сабақ бойыншақайталау 1-2 оқушыданБөлшектерді ортақ бөлімге келтіру алгоритмін тұжырымдау сұралады. Бөлшектерді жаңа бөлімге келтірудің әртүрлі жағдайлары бойынша топқа бөлу: 1. Бір бөлшектің бөлімі екінші бөлшектің бөлімінің бөлгіші болады: ЕКОЕ ( 24 , 8) 2.Бөлімдері өзара жай сандар болады: ЕКОЕ (7 , 9) 3.Бөлімдерінің ортақ бөлгіші бар: ЕКОЕ (6 , 9 ) Топ басшысы үйлестіруші,жинақтаушы,көзқарастарын,дағдыларын дамытуға бағыттайды. Құпия сөз!( Жеке ,топтық жұмыс) программаланған тапсырма орындау.
|
БОЛАШАҚТЫҢ БАҒДАРЫ Бор, флип-чарттар, үлестірме парақшалар бағалау парақтары.. Құпия сөз!Программаланған есеп | |||||||||||||||||||||||||||
| |
Талап, еңбек, терең ой Қанағат, рақым ойлап қой Бес асыл іс көнсеңіз. Абай ҚБ: «Мадақтау» әдісі |
Қазақ тілімен байланысты және тарихи мағлұмат | |||||||||||||||||||||||||||
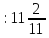
| Сабақтыңортасы (20 мин) | Оқулықпен жұмысЖаңа сабақты толық меңгерту үшін сыни тұрғыдан ойлаудың «Спиралдық оқыту» әдісі бойынша деңгейлік тапсырмалар А деңгейі «Ойлан. Жұптас. Бөліс» серіктестікті оқытуәдісі дағдыны дамытуға арналған есептер шығарылады. №462.Жұлдызшаның орнына тиiстi санды тауып, қойыңдар:
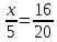
Кері байланыс, ой толғаныс Себеп-салдарлық стратегияҚБ: бағдаршам арқылы бағалау №464.(ауызша)Натурал санды берілген жай бөлшекпен бөлiмi бiрдей жай бөлшек түрiнде түрлендіріңдер:
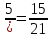
Қ Б: Жарайсың! В деңгейі №466. Бөлшектердi қысқартып, оларды ең кiшi ортақ бөлiмге келтiрiңдер:
1); 3))ҚБ: «Қошеметтеу» әдісі №486(топтық)Жай бөлшектерді ең кіші ортақ бөлімге келтіріп,координаталық сәуледе кескіндеңдер:
Бағыттаушы сұрақ: Бірлік кесінді неше бөлік болған жақсы? №469.
Нәтиже:талқылайды, салыстырады, қорытынды шығарады. №470. (шығармашылық жаттығу )Мәдина гүлдер салынған 8 гүлсалғышты квадрат пішінді демалыс бөлмесінің әрбір қабырғасының тұсына 3 гүлсалғыштанқойды. Мәдина гүлсалғыштарды қалай орналастырды? ҚБ: «Екі жұлдыз, бір тілек» №471О.Тапқырлыққа есеп: Әкесі үш ұлына мұраға 2 үйді қалдырып, онытең бөліп алуды тапсырды. 2 үйді үлкен ұлы мен ортаншы ұлыалып, ең кіші ұлына олардың әрқайсысы 500 динардан ақшаберді. Бір үйдің бағасы неше динар болған? А. 2000 динар; В. 1500 динар; С. 1800 динар; D. 1200 динар; ҚБ: « от шашу» С деңгейізерттейді, талқылайды,проблемалық жағдайды шешеді № 472. Жай бөлшекпен жазыңдар:
Мұғалім:Бағыттаушы сұрақтар қойылады:Бөлшек нені білдіреді? Оқушылар өмірмен байланыстырып шығарады.Мұндай қорытындыға қалай келдің? №475 (қиынырақ есеп). Бөлшектерді ең кіші ортақ бөлімге келтіріңдер: ; Қосымша есеп: Суретте ұзындықтары бiрдей үш кесiндi берiлген. Бiрiншi кесiндiнiң
Қай бөлшек үлкен, қай бөлшек кiшi? Бөлшектердi өсу ретiмен жазыңдар.Өз дәлелдеуіңді тұжырымда, бөліс ҚБ: «Қошеметтеу» әдісі | Оқулық «Математика» Т.А. Алдамұрат ова, Қ. С. Байшоланова, Е.С. Байшоланов Алматы «Атамұра» 2017 жұмыс парағы, өзін-өзі бағалау парағы, топтық бағалау парағы.
А.Әбілқасымова, Т.Кучер,З.Жұмағұлова Алматы: Мектеп, 2017
| |||||||||||||||||||||||||||
| Сабақтыңсоңы (15 мин) | Тақырыптың түйіні ретінде «Тұжырымдамалық карта» ойыны ойналады 1 мин ішінде 5 сөйлем айту: Кез келген екі бөлшекті бірдей бөлімге, яғни ортақ бөлімге келтіруге болады. Бөлшектер көбінесе ең кіші ортақ бөлімге келтіріледі. Жай бөлшектерді, аралас сандарды ең кіші ортақ бөлімгекелтіруді білеміз.Ең кіші ортақ бөлім ең кіші ортақ еселік болады. Рефлексия пирамидасы бойынша бірнеше оқушы ой қорытады. Қалыптастырушы бағалау тапсырмалары: |
| |||||||||||||||||||||||||||
| Тапсырма | |||||||||||||||||||||||||||||
| Бағалаукритерийi | Дескриптор | ||||||||||||||||||||||||||||
| Ойлаудағдыларыныңдеңгейлері: қолдану, талдау,жинақтау. 1 нұсқа 1) Бөлшектерді ортақ бөлімге келтіріңіз:а)
2)Жұлдызша орнына тиісті санды қойыңыз: б) Натурал санды жай бөлшекке түрлендіріңіз: 7 және
3) бөлшектерін ортақ бөлімге келтіріңдер. ә)
б)бөлшектердің бөлімдерін 1000-ға келтіріңдер | 1)-Ең кіші ортақ еселігінды біледі -Толықтауыш көбейткішті таба алады - Ең кіші ортақ бөлімге келтіруді біледі 2) - Бөлшектердің қасиетін қолдана біледі. - ортақ бөлімге келтіруді қолданып есептің шешімін табады. 3) – бөлшектердің қасиетін қолданады -Бірнеше санның ең кіші ортақ бөлімін таба алады -Қорытынды шығарады,жауабын жазады. | ||||||||||||||||||||||||||||
| Саралау – Сізқандайтəсілменкөбірекқолдаукөрсетпексіз?Сізбасқаларғақарағанда қабілеттіоқушыларғақандайтапсырмаларбересіз? | Бағалау – Сізоқушылардың материалдыигерудеңгейінқалайтексерудіжоспарлапотырсыз? |
Денсаулық жəне қауіпсіздік техникасын сақтау | |||||||||||||||||||||||||||
|
«Миға шабуыл», «Ойлан. Жұптас. Бөліс» серіктестікті оқыту әдісі , «Әр адам әрқайсысын оқытады» қолданылады.
Себеп-салдарлық стратегия алынады. | Қалыптастырушы бағалау әдістері: «Мадақтау» әдісі , «Бағдаршам», «Екі жұлдыз, бір тілек» «Қошеметтеу» әдісі
Сіз көбірек білгіңіз келетін екі нәрсе
Сіз бұрыннан білетін үш нəрсе
Сіз үйренген төрт нəрсе
| Денсаулықсақтау технологиялары. Сабақтасергіту жаттығулары мен белсендіжұмыстүрлерін қолдану. Қауіпсіздіктехникасы ережелерініңтармақтары Оқушылардың жас ерекшелігін ескере отырып АКТ құралы интербелсенді тақтаны денсаулыққа зияндылығын және нормативке сай 10 минут қолдану
Сіз көбірек білгіңіз келетін екі нәрсе
| |||||||||||||||||||||||||||
| Сабақбойынша рефлексия | Бұлтараудысабақтуралы рефлексия жасауүшінпайдаланыңыз. Солбағандағыөзіңізмаңыздыдепсанайтынсұрақтарғажауап беріңіз. | ||||||||||||||||||||||||||||
| Сабақмақсаттары немесеоқу мақсаттарышынайы, қолжетімді болады. Барлықоқушылароқу мақсатынақол жеткізеді . Өзін –өзі бағалайды, топ басшысы бағалайды. | Белсенді оқыту тәсілі:саралау,оқушылардың қажеттіліктерін қанағаттандыру орындалды. «Тұжырымдамалық карта» ойыны барысында олар «Бір минут» тапсырмасын орындаған кезде алған барлық ақпаратты жинақтайды және құрылымдайды. Критериалды бағалау Блум таксономиясын қолданылады. Әлеуметтік қарым-қатынас :оқушылар позитивтік ,конструктивтік, шығармашалық қағидаттарды ұстанады
| ||||||||||||||||||||||||||||
Тарихи мағлұмат:
2014 ж17қаңтарында Қазақстан жолы -2050 жолдауында «Мәңгілік ел »- бұл қазақстандықтарды біріктіретін жалпыұлттық құндылықтар және еліміздің болашағының іргетасын құрайды делінген. «Мәңгілік ел » идеясы қазақстандықтардың бойында патриоттық сезімі,әлеуметтік белсенділігі жоғары бәсекеге қабілетті тұлғаға тән қасиет сапаларды жетілдіруге бағытталған.
«Байтерек»- қазақ халқының қайта өрлеуі мен түлеуінің, мемлекеттігің,биік пен тереңдіктің кеңдіктің белгісі, дархандақтың көрінісі. Байтерек биіктігі 105 мметал құрамасынан жасалған,салмағы 1000 т.Шар биіктігінің диаметрі 22 м, салмағы 300т Н.Ә.Назарбаев эскизі негізінде дүниеге келді.Ол бейбіт өиір мен келісімге ұмтылған барлық Қазақстандықтардың мұратын білдіреді.Бәйтерек нысаны 3 бөліктен тұрады:Жер асты бөлігі-ұлттың тамыр жаюы,ал одан кейінгілері өркендеу кезеңдерінің нышанын білдіреді.Ең жоғарғы жағында «Аялы алақан»композициясы орын алған.Осынау ғаламат шардың панорамалық залынан Астананың кешегі,бүгінгі сәулетін тамашалауға болады.

















бөлшегінің бөлімін 36-ға келтіру үшін нешеге көбейту керек?




БӘЙТЕРЕК
және
; 2топ:
Жай бөлшектерге амалдар қолдану (3.48 MB)

