Практическая работа
Решение задач по теме: «Молекулярно-кинетическая теория»
Примеры решения задач
Условие задачи: Определите молярные массы водорода и гелия.
Найти:
МН2 - ?
МНе - ?
Решение:
Воспользуемся таблицей Менделеева, в которой указаны относительные атомные массы химических элементов.
Относительная атомная масса водорода Mr H равна 1, а гелия Mr Hе = 4. Химическая формула водорода Н2, поэтому относительная молекулярная масса водорода Mr H2 = 2⋅1. Соответственно, молярная масса водорода равна Mr H2 = 10-3. Mr H2 кг/моль = 10-3⋅2 кг/моль = 0,002 кг/моль. Гелий – инертный одноатомный газ, следовательно М Не = 10-3⋅Mr Hе кг/моль = 10-3⋅4 кг/моль = 0,004 кг/моль.
Определить вместимость V сосуда, в котором находится газ, если концентрация молекул n=1,25*1026 м-3, а общее их число N=2,5*1023.

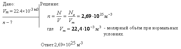
Идеальный газ находится при нормальных условиях в закрытом сосуде. Определить концентрацию n молекул газа.

Газ массой m=58,5 г находится в сосуде вместимостью V=5 л. Концентрация n молекул газа равна 2,2*1026 м-3. Какой это газ?

Определить количество вещества ν и концентрацию n молекул газа, содержащегося в колбе вместимостью V=240 см3 при температуре T= 290 К и давлени и p=50 кПа.


Молекулярно-кинетическая теория (23.73 KB)

