![]()
![]()
МОБУ «Троицкая средняя общеобразовательная школа
имени Г.К.Жукова»
Механические
колебания
Физика, 11 класс.
Учитель: Момолдаева Раиса Горяевна
с.Троицкое.
![]()
Физика, 11класс
Механические колебания
Цели урока:
Образовательные: сформировать у учащихся представления о колебательном движении; изучить свойства и основные характеристики периодических (колебательных) движений.
Развивающие: развивать умения и навыки анализировать знания и делать выводы; развитие речи учащихся через организацию диалогического общения на уроке; развитие и поддержка внимания учащихся через смену учебной деятельности.
Воспитательные: формировать познавательный интерес; воспитывать внимательность, дисциплинированность, трудолюбие; создать атмосферу коллективного поиска, эмоциональной приподнятости, радости преодоления трудностей.
Межпредметные связи: математика
Наглядность: демонстрация колебаний математического и пружинного маятников.
Оборудование: набор приборов для демонстрации колебательных процессов, справочник (Приложение 1).
План урока
I. Оргмомент;
II. Повторение известного материала;
III. Изучение колебательных систем;
IV. Практическая работа по таблицам;
V. Домашнее задание.
Ход занятия
I. Проблемная ситуация:
Какое физическое явление мы будем наблюдать, если отклонить шарик от положения равновесия и отпустить? Как называется эта система? (продемонстрировать) .
Математический маятник, пружинный, физический.
Возможные применения колебаний:
Колебание геомагнитного поля Земли под действием ультрафиолетовых лучей и солнечного ветра,
Влияние колебаний магнитного поля Земли на живые организмы, движение клеток крови,
Вредная вибрация ( разрушение мостов при резонансе, разрушение самолётов при вибрации),
Полезная вибрация (полезный резонанс при уплотнении бетона, вибросортировка,
Электрокардиограмма работы сердца,
Колебательные процессы в человеке ( колебание барабанной перепонки, голосовых связок, работа сердца и лёгких, колебания клеток крови).
II. Начнем с повторения.
Вопросы классу:
1. Какое движение совершает тело?
Сформулируйте определение колебательного процесса.
Колебательный процесс - это процесс, который повторяется через определённые промежутки времени.
2. Сформулируйте определения свободных и вынужденных колебаний (с примерами).
Свободные - это колебания, которые происходят без воздействия внешней силы.
Свободные колебания являются затухающими.
Вынужденные - это колебания, которые происходят под воздействием внешней периодической силы.
Вынужденные колебания - незатухающие.
3. Какие ещё виды колебаний вы знаете? Сформулируйте определение.
Гармонические колебания - это колебания, которые происходят по закону синуса или косинуса.
4. Условия возникновения колебаний? (продемонстрировать)
1) Наличие возвращающей силы, направленной против смещения;
2) Достаточное малое трение в системе.
III. Изучение колебательных систем.
Какова связь между колебательными движениями и функциями синус и косинус?
Для построения этой модели обратим внимание, что равномерное движение точки по окружности является периодическим процессом.
Даже будучи не знакомы с тригонометрическими функциями, достаточно легко построить график закона движения тени шарика. Для этого необходимо изобразить окружность, отметить на ней равноотстоящие точки, а затем нанести на график временной зависимости их координаты через равноотстоящие интервалы времени.

Графики каких функций напоминает эта линия? (sin x, cos x).
Характеристики гармонических колебаний:
1. Период колебаний – время, за которое маятник совершается одно полное колебание.
[Т] = с Т =
2. Частота колебаний – число полных колебаний в единицу времени.
[ν] = Гц ν = 
3. Амплитуда колебаний – наибольшее (по модулю) отклонение тела от положения равновесия. [А] = м.
4. Скорость [𝑣] = м/с
5. Ускорение [a] = м/с2
6. Фаза колебаний - Величину φ, стоящую под знаком функции косинуса или синуса, называют фазой колебаний, описываемой этой функцией.
[ φ] = рад.
7. Циклическая частота - число колебаний за 2π с
ω0 = 2πν; ω0Т = 2π; Т = 
Связь периода колебаний с частотой: T =
; ν = 
Рассмотрим колебания математического маятника
Механические колебания - это периодические изменения координаты, скорости и ускорения тела.
Что необходимо сделать, чтобы в колебательной системе возникли колебания?
- отклонить тело от положения равновесия и отпустить (продемонстрировать).
Превращение энергии в колебательном процессе
На примере пружинного маятника: (продемонстрировать ). (Приложение 2)

|
Ep |
| 0 |
|
|
Eк | 0 |
| 0 |
|
Eп |
|
|
|
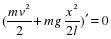
Уравнение колебательного процесса
Вывод уравнения для пружинного маятника с помощью закона сохранения энергии:

IV. Итак, мы получили уравнение колебательного процесса.

Вторая производная функции пропорциональна самой функции. Таким свойством обладают только функции синуса и косинуса.
(sin x)' = cos x; (cos x)' = - sin x.
Решение уравнения гармонических колебаний должно иметь вид произведения амплитуды колебаний хт на синус или косинус.
Проверим:
| х = хmax cos ω0t
| х = хmax sin ω0t
|
Когда какую функцию выбирать зависит от значения координаты тела в начальный момент времени.
Если х = хmax, то выбираем функцию косинус. Если х = 0 - то синус.
V. Домашнее задание: §18-24, упр 3.
Литература
1. Физика 11 класс /Г.Я. Мякишев, Б.Б.Буховцев, В.М.Чаругин-М. : Просвещение,2009.
2. "Аналогия между механическими и электромагнитными колебаниями"/О.Н. Бурлова.






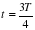
; ν = 

Оборудование: 1) набор конденсаторов; 2) гальванометр школьный (миллиамперметр); 3) выпрямитель; 4) переключатель двухполюсный; 5) соединительные провода.





























соответствует
- уравнение, описывающее колебания в контуре.

=
=








































− α
− α



, то φ = ω0




и 
= 




Колебания, 11 класс (977.18 KB)

