Алгебра және анализ бастамалары пәнінен 10-сыныпқа(ЖМБ) арналған жазбаша емтихан тапсырмалары
І нұсқа
1.Өрнекті ықшамдаңдар:
![]()
2.Функцияны зерттеп графигін салыңдар:
![]()
3.Теңсіздікті шешіңдер:
![]()
4.Теңбе-теңдікті дәлелде:
![]()
ІІ нұсқа
1.Өрнекті ықшамдаңдар:
![]()
2.Функцияны зерттеп графигін салыңдар:
![]()
3.Теңсіздікті шешіңдер:
![]()
4.Теңбе-теңдікті дәлелде:
![]()
Алгебра және анализ бастамалары пәнінен 10-сыныпқа(ЖМБ) арналған жазбаша емтихан тапсырмаларының шешімдері
І нұсқа
1.Өрнекті ықшамдаңдар:
![]()
2.Функцияны зерттеп графигін салыңдар:
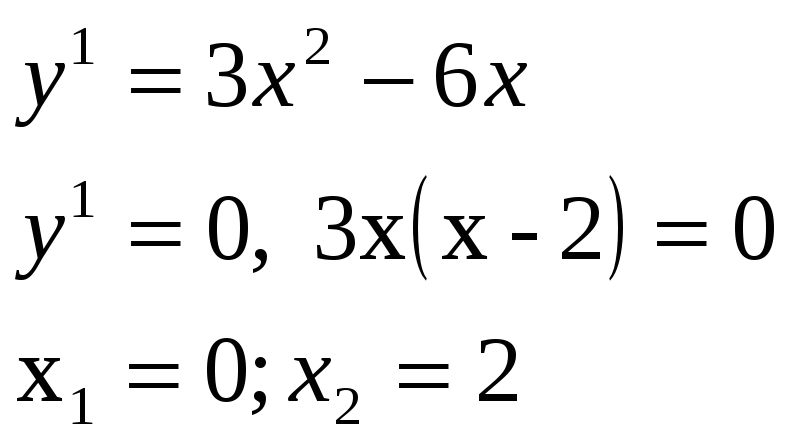
![]()
1. Функцияның анықталу облысы D€R
2. Функция жұп та, тақ та емес
3. Координаталар осьтерімен қиылысуы:
х=0, у=4 х=-1, y=0
х=1, у=2 x=2, y=0
4.
сындық нүктелері: 0; 2
5.Өсу, кему аралығы:
6. Экстремум нүктелері: у(0)=4 max, y(2)=0 min
7. Графигін салу.
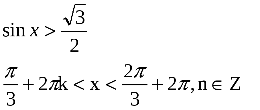
3.Теңсіздікті шешіңдер:


4.Теңбе-теңдікті дәлелде:
![]()
![]()

![]()
ІІ нұсқа
1.Өрнекті ықшамдаңдар:

2.Функцияны зерттеп графигін салыңдар:
![]()
1. Функцияның анықталу облысы D€R
2. Функция жұп та, тақ та емес
3. Координаталар осьтерімен қиылысуы:
х=0, у=-3 х=-1, y=-8
х=1, у=0 x=2, y=-3
4.

5. Өсу, кему аралықтары:
6. Экстремум нүктелері:
![]()
7. Графигін салу
3.Теңсіздікті шешіңдер:

4.Теңбе-теңдікті дәлелде:
![]()



Файлдар мен бумалар (75.5 KB)

