Зачет по теме " Цилиндр, конус, шар"
Список вопросов теста
Вопрос 1
Тело, ограниченное цилиндрической поверхностью и двумя кругами, называется...
Варианты ответов
- цилиндром
- конусом
- сферой
- шаром
Вопрос 2
Отрезки образующих, заключенные между основаниями, называются...
Варианты ответов
- образующими цилиндра
- образующими конуса
- высотой
- медианой
Вопрос 3
Если секущая плоскость проходит через ось цилиндра, то сечением является...
Варианты ответов
- прямоугольник
- треугольник
- квадрат
- трапеция
Вопрос 4
Если секущая плоскость перпендикулярна оси цилиндра, то сечением является...
Варианты ответов
- прямоугольник
- треугольник
- квадрат
- круг
Вопрос 5
По данной формуле вычисляется:
Варианты ответов
- Площадь боковой поверхности цилиндра
- Площадь полной поверхности цилиндра
- Площадь боковой поверхности конуса
- Площадь полной поверхности конуса
- Площадь поверхности сферы
Вопрос 6
По данной формуле вычисляется:
Варианты ответов
- Площадь боковой поверхности цилиндра
- Площадь полной поверхности цилиндра
- Площадь боковой поверхности конуса
- Площадь полной поверхности конуса
- Площадь поверхности сферы
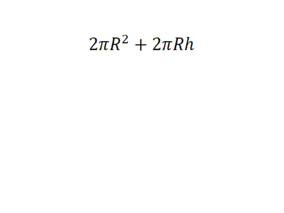
Вопрос 7
По данной формуле вычисляется:
Варианты ответов
- Площадь боковой поверхности цилиндра
- Площадь полной поверхности цилиндра
- Площадь боковой поверхности конуса
- Площадь полной поверхности конуса
- Площадь поверхности сферы
Вопрос 8
По данной формуле вычисляется:
Варианты ответов
- Площадь боковой поверхности цилиндра
- Площадь полной поверхности цилиндра
- Площадь боковой поверхности конуса
- Площадь полной поверхности конуса
- Площадь поверхности сферы
Вопрос 9
Тело, ограниченное конической поверхностью и кругом, называется...
Варианты ответов
- цилиндром
- конусом
- сферой
- усеченным конусом
Вопрос 10
Вращением прямоугольного треугольника вокруг катета можно получить
Варианты ответов
- цилиндр
- конус
- усеченный конус
- шар
Вопрос 11
Вращением прямоугольника вокруг одной из сторон можно получить
Варианты ответов
- цилиндр
- конус
- усеченный конус
- шар
Вопрос 12
Поверхность, состоящая из всех точек пространства, расположенных на данном расстоянии от данной точки, называется...
Варианты ответов
- цилиндром
- конусом
- сферой
- шаром
Вопрос 13
Определите координаты центра сферы, заданной уравнением:
Варианты ответов
- (0;0;0)
- (0;-3;0)
- (0;3;0)
- (3;0;4)
Вопрос 14
Определите радиус сферы, заданной уравнением:
Варианты ответов
- 16
- 4
- 256
Вопрос 15
Вставьте пропущенное слово:
Радиус сферы, проведенный в точку касания сферы и плоскости, ..... к касательной плоскости
Варианты ответов
- перпендикулярен
- параллелен
- пересекает
Вопрос 16
Если секущая плоскость проходит через вершину конуса, то сечением является..
Варианты ответов
- треугольник
- прямоугольник
- прямоугольный треугольник
Вопрос 17
Точки А и В принадлежат шару. Принадлежит ли шару любая точка отрезка АВ?
Варианты ответов
- Да
- Нет
Вопрос 18
Точки А и В принадлежат сфере. Принадлежит ли сфере любая точка отрезка АВ?
Варианты ответов
- Да
- Нет


