Вычисление интегралов
Роман Кристина Викторовна
24.04.2023.
Тест. Математика, Прочее
Тест содержит вопросы практического характера с вводом ответа
Система оценки:
5* балльная
Список вопросов теста
Вопрос 1
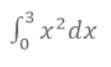
Вычислить:
Вопрос 2
Вычислить:
Вопрос 3
Вычислить:
Вопрос 4
Вычислить:
Вопрос 5
Вычислить:
Вопрос 6
Вычислить:
Вопрос 7
Вычислить:
Вопрос 8
Вычислить:
Получите комплекты видеоуроков + онлайн версии
Пройти тест
Сохранить у себя:
Тесты по математике Прочее
0
179
Нравится
0


