Все действия с дробями
Чупина Алена Викторовна
26.11.2020.
Тест. Математика, 6 класс
Повторите правила сложения и вычитания дробей с разными знаменателями. Повторите правила УМНОЖЕНИЯ И ДЕЛЕНИЯ дробей.
Система оценки:
5 балльная
Список вопросов теста
Вопрос 1

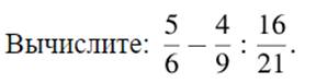
В ответе введите НЕСОКРАТИМУЮ дробь через знак /. Например 7/12
Вопрос 2

Вопрос 3

Вопрос 4

Вопрос 5

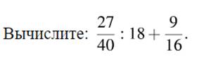
В ответе запищите несократимую дробь.
Вопрос 6

В ответе запищите НЕСОКРАТИМУЮ дробь.
Получите комплекты видеоуроков + онлайн версии
Пройти тест
Сохранить у себя:
Тесты по математике 6 класс
0
1434
Нравится
0


