Пределы и производные элементарных функций (ОУД)
Список вопросов теста
Вопрос 1
(xn)'=
Варианты ответов
-
xn
-
nxn
-
nxn+1
-
nxn-1
Вопрос 2
(C)'=
Варианты ответов
- C
- 1
- 0
- нет верного ответа
Вопрос 3
(ex)'=
Варианты ответов
-
ex
-
lnx
-
lne
-
нет верного ответа
-
ex-1
Вопрос 4
(ax)'=
Варианты ответов
-
\(a^x\)
-
\(\ln a\)
-
\(a^x\cdot\ln a\)
-
\(a^{x-1}\)
Вопрос 5
(cosx)'=
Варианты ответов
-
\(\sin x\)
-
\(\cos x\)
-
\(-\sin x\)
-
\(-\cos x\)
- нет верного ответа
Вопрос 6
(tgx)'=
Варианты ответов
- ctgx
-
\(\frac{1}{\sin^2x}\)
-
\(\frac{1}{\cos^2x}\)
-
-\(\frac{1}{\cos x}\)
Вопрос 7
(sinx)'=
Варианты ответов
-
\(\sin x\)
-
\(\cos x\)
-
\(-\sin x\)
-
\(-\cos x\)
Вопрос 8
(ctgx)'=
Варианты ответов
- tgx
-
-\(\frac{1}{\cos^2x}\)
-
-\(\frac{1}{\sin^2x}\)
-
\(-\frac{1}{\sin x}\)
Вопрос 9
(arcsinx)'=
Варианты ответов
- arccosx
- arcsinx
-
\(\frac{1}{1+x^2}\)
-
\(\frac{1}{\sqrt{1-x^2}}\)
Вопрос 10
(arccosx)'=
Варианты ответов
-
-arcsinx
-
\(-\frac{1}{\sqrt{1+x^2}}\)
-
\(\frac{1}{1+x^2}\)
-
\(-\frac{1}{\sqrt{1-x^2}}\)
Вопрос 11
(arctgx)'=
Варианты ответов
-
\(\frac{1}{\sqrt{1-x^2}}\)
-
\(\frac{1}{1+x^2}\)
-
arcctgx
-
\(-\frac{1}{1+x^2}\)
Вопрос 12
(arcctgx)'=
Варианты ответов
-
\(\frac{1}{\sqrt{1-x^2}}\)
-
\(\frac{1}{1+x^2}\)
-
arctgx
-
\(-\frac{1}{1+x^2}\)
Вопрос 13
(lnx)'=
Варианты ответов
-
ex
-
\(\frac{1}{x}\)
-
\(\frac{1}{x^2}\)
-
нет верного ответа
Вопрос 14
\(\left(u\pm v\right)'=\)
Варианты ответов
-
\(u'\cdot v'\)
-
\(u'\pm v'\)
-
\(u'+v'\)
-
нет верного ответа
Вопрос 15
\(\left(u\cdot v\right)'=\)
Варианты ответов
-
\(u'\cdot v'\)
-
\(u'\cdot v+u\cdot v'\)
-
\(u'\cdot v-u\cdot v'\)
-
нет верного ответа
Вопрос 16
\(\left(\frac{u}{v}\right)'=\)
Варианты ответов
-
\(\frac{u'}{v'}\)
-
\(\frac{u'\cdot v-u\cdot v'}{v}\)
-
\(\frac{u'\cdot v-u\cdot v'}{v^2}\)
-
\(\frac{u'\cdot v+u\cdot v'}{v^2}\)
Вопрос 17
Впишите вместо многоточия правильный ответ: производная функции \(f\left(x\right)\) обозначается символом …
(ответ запишите словом)
Вопрос 18
Впишите вместо многоточия правильный ответ: процедура дифференцирования, это …
Вопрос 19
Впишите вместо многоточия правильный ответ: запись вида
x→a читается как х…………к a.
Вопрос 20
Впишите вместо многоточия правильный ответ: величина x→0 называется …
Вопрос 21
Закончите фразу: если при вычислении предела получили одно из выражений \(\frac{0}{\infty},\ \frac{\infty}{0},\ \frac{0}{0},\ \frac{\infty}{\infty},\ \infty^0,\ 0^0,\ 0^{\infty}\) , то говорят, что это …
Вопрос 22
Впишите вместо многоточия правильный ответ: величина \(x\rightarrow\infty\) называется …
Вопрос 23
Закончите фразу: если при вычислении предела получили выражение \(\frac{a}{0}\) то этот предел равен …
(ответ занести словом)
Вопрос 24
В теории пределов чтобы вычислить предел, необходимо …
Варианты ответов
- Разделить числитель и знаменатель на наивысшую степень переменной
- Подставить предельное значение переменной в выражение под знаком предела
- Домножить числитель и знаменатель дроби на сопряженное (числителю или знаменателю) выражение
- Разложить числитель и знаменатель на множители
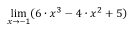
Вопрос 25
Ведите числовое значение выражения
Вопрос 26
Введите значение функции \(y=\sqrt{x+1}+2x^2-8\) при \(x=3\)
Вопрос 27
Введите значение производной функции \(y=8x^3-4x^2+6\) при \(x=-1\)
Вопрос 28
Введите значение производной функции \(y=x\cdot\cos x\) при \(x=0\)
Вопрос 29
Введите значение приращения функции \(y=3x^2+5x-4\), если начальное значение ее аргумента \(x=-4\), а новое \(x=-1\)


