Вариант ОГЭ
Смирнова Людмила Леонтьевна
12.05.2020.
Тест. Математика, 9 класс
Внимательно читайте задание! Если какое-то задание не знаете, переходите к следующему заданию и потом вернитесь к предыдущему.
Система оценки:
5 балльная
Список вопросов теста
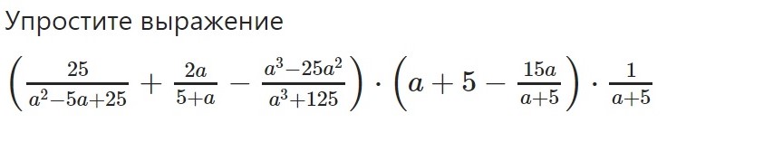
Вопрос 1

Вопрос 2

Варианты ответов
- 1) 0,2
- 2) 0,3
- 3) 0,4
- 4) 0,5
Вопрос 3

Варианты ответов
- 1) 8
- 2) -8
- 3) 1/8
- 4) -1/8
Вопрос 4

Вопрос 5

Вопрос 6

Вопрос 7

Вопрос 8

Вопрос 9

Вопрос 10

Варианты ответов
- 1) (−7; +∞)
- 2) (−∞; −7)
- 3) (7; +∞)
- 4) (−∞; 7)
Вопрос 11

Варианты ответов
- 120
- 50
- 45
Вопрос 12

Вопрос 13

Вопрос 14

Вопрос 15

Варианты ответов
- 1)
- 2)
- 3)
- 4)
Вопрос 16

Получите комплекты видеоуроков + онлайн версии
Пройти тест
Сохранить у себя:
Тесты по математике 9 класс
0
191
Нравится
0


