Вариант 2
Воропаева Ирина Владимировна
13.05.2020.
Тест. Математика, Прочее
На выполнение теста дается 30 минут. Критерии: 0-4 балла - оценка 2, 5-6 баллов - оценка 3, 7-8 баллов - оценка 4, 9-10 баллов - оценка 5.
Система оценки:
Зачёт/Незачёт
Список вопросов теста
Вопрос 1
Вычислите:

Ответ запишите в виде десятичной дроби
Вопрос 2
Вычислите:

Вопрос 3
Упростите выражение:

Варианты ответов
-
\(\frac{1}{xy}\)
-
\(\frac{xy}{y+x}\)
-
\(\frac{y+x}{xy}\)
-
\(\frac{y-x}{x+y}\)
Вопрос 4
Решите уравнение:

В ответе запишите сумму корней (в виде десятичной дроби)
Вопрос 5
Решите уравнение:

В ответе запишите произведение корней
Вопрос 6

1.
1
2.
2
3.
3
4.
4
Варианты ответов
- А
- Б
- В
- Г
Вопрос 7
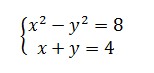
Решите систему уравнений
Ответ запишите в виде пары чисел (x;y) (числа запишите без пробелов через точку с запятой (;))
Вопрос 8

Варианты ответов
- 1
- 2
- 3
Вопрос 9

Вопрос 10

Получите комплекты видеоуроков + онлайн версии
Пройти тест
Сохранить у себя:
Тесты по математике Прочее
0
117
Нравится
0


