Итоговая контрольная работа
Воропаева Ирина Владимировна
11.05.2020.
Тест. Математика, 9 класс
Тест вы должны решить в течении 30 минут. Критерии оценивания: 0-3 б - оценка "2" 4-5 б - оценка "3" 6 б - оценка "4" 7 б - оценка "5"
Система оценки:
Зачёт/Незачёт
Список вопросов теста
Вопрос 1

Варианты ответов
- 1
- 2
- 3
Вопрос 2

Вопрос 3

Вопрос 4

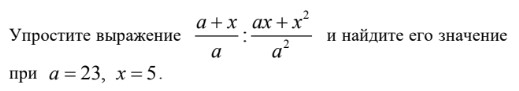
Вопрос 5

Вопрос 6

Вопрос 7

1.
1
2.
2
3.
3
Варианты ответов
- А
- Б
- В
Получите комплекты видеоуроков + онлайн версии
Пройти тест
Сохранить у себя:
Тесты по математике 9 класс
0
139
Нравится
0


