Уравнения
Белозерова Евгения Александровна
13.02.2022.
Тест. Математика, 6 класс
Тест ограничен по времени, на него отводится 20 минут. Все решения записывать в тетради.
Система оценки:
5 балльная
Список вопросов теста
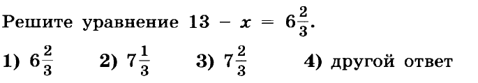
Вопрос 1

Варианты ответов
- 1
- 2
- 3
- 4
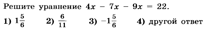
Вопрос 2

Варианты ответов
- 1
- 2
- 3
- 4
Вопрос 3

Варианты ответов
- 1
- 2
- 3
- 4
Вопрос 4

Варианты ответов
- 1
- 2
- 3
- 4
Вопрос 5

Варианты ответов
- 1
- 2
- 3
- 4
Вопрос 6

Варианты ответов
- 1
- 2
- 3
- 4
Вопрос 7

Варианты ответов
- 1
- 2
- 3
- 4
Вопрос 8

Варианты ответов
- 1
- 2
- 3
- 4
Получите комплекты видеоуроков + онлайн версии
Пройти тест
Сохранить у себя:
Тесты по математике 6 класс
0
252
Нравится
0


