Умножение обыкновенных дробей (1 вариант)
Автор скрыт
31.03.2022.
Тест. Математика, 5 класс
Тест предназначен для учащихся 5 класса по теме Умножение обыкновенных дробей
Система оценки:
5** балльная
Список вопросов теста
Вопрос 1

Варианты ответов
- а)
- б)
- в)
- г)
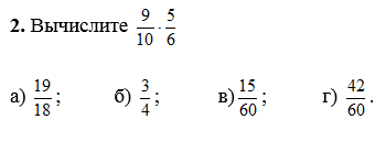
Вопрос 2

Варианты ответов
- а)
- б)
- в)
- г)
Вопрос 3

Варианты ответов
- а)
- б)
- в)
- г)
Вопрос 4

Варианты ответов
- а)
- б)
- в)
- г)
Вопрос 5

Варианты ответов
- а)
- б)
- в)
- г)
Получите комплекты видеоуроков + онлайн версии
Пройти тест
Сохранить у себя:
Тесты по математике 5 класс
0
569
Нравится
0


