Умножение дробей
Автор скрыт
24.11.2020.
Тест. Математика, 6 класс
Контрольная работа на 40 минут. Решаете в тетради, а ответы вносите сюда. Обратите внимание на пример для ввода ответа и ответ вводите так, как написано в примере.
Пример: целым числом 9, дробным числом 2/5 или смешанным числом 9 целых 2/5
Система оценки:
5* балльная
Список вопросов теста
Вопрос 1
Выполните умножение:

Впишите ответ следующим образом: 2/5 или 9 целых 2/5 или 9
Вопрос 2
Выполните умножение:

Впишите ответ следующим образом: 2/5 или 9 целых 2/5 или 9
Вопрос 3
Выполните умножение:

Впишите ответ следующим образом: 2/5 или 9 целых 2/5 или 9
Вопрос 4
В классе 24 учащихся, из них \(\frac{3}{8}\) составляют мальчики. Сколько девочек в классе?
Вопрос 5
Найдите значеие выражения:

Впишите ответ следующим образом: 2/5 или 9 целых 2/5 или 9
Вопрос 6

Впишите ответ без единиц измерения.
Вопрос 7
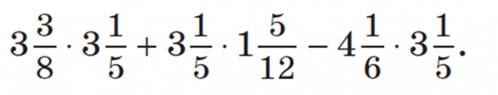
Вычислите значеие выражения наиболее удобным способом:

Впишите ответ следующим образом: 2/5 или 9 целых 2/5
Вопрос 8

Варианты ответов
- 1
- 2
- 3
Получите комплекты видеоуроков + онлайн версии
Пройти тест
Сохранить у себя:
Тесты по математике 6 класс
0
212
Нравится
0


