Циклы Вариант_2 (не Python)
Автор скрыт
03.02.2023.
Тест. Информатика, 8 класс
Здесь вы можете видеть все тесты, которые вы разработали. Вы можете их редактировать, публиковать, смотреть результаты. Для удобства нахождения нужных
Система оценки:
5 балльная
Список вопросов теста
Вопрос 1
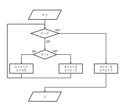
Чему будет равно значение переменной y?
Если на вход подается знавение х = 9, y = 6.

Вопрос 2
Чему будет равно значение переменной y?
Если на вход подаются значения х = -2, y = 0.

Вопрос 3
Чему будет равно значение переменной y?
Если на вход подается знавение х = -2, y = 4.
Вопрос 4
Чему будет равно значение переменной y?
Если на вход подается знавение х = -3, y = -4.
Вопрос 5
Чему будет равно значение переменной y?
Если на вход подается знавение х = 6, y = 10.

Вопрос 6
Чему будет равно значение переменной s?

Вопрос 7
Чему будет равно значение переменной s?

Вопрос 8
Чему будет равно значение переменной s?

Получите комплекты видеоуроков + онлайн версии
Пройти тест
Сохранить у себя:
Тесты по информатике 8 класс
0
243
Нравится
0


