Циклы
ТЕРЕШИН Михаил Вячеславович
29.04.2020.
Тест. Информатика, 10 класс
..ццццццццццццццццццццццааааааааааааааааааааааааааааааааааааааа
Система оценки:
5* балльная
Список вопросов теста
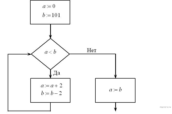
Вопрос 1
Запишите значение переменной а после выполнения фрагмента алгоритма:
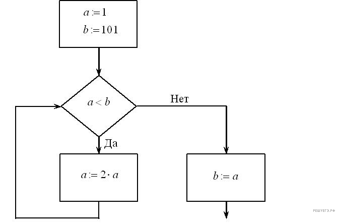
Вопрос 2
Запишите значение переменной а после выполнения фрагмента алгоритма:
Вопрос 3
var k, s: integer;
begin
s:=0;
k:=0;
while s < 80 do begin
s:=s+2*k;
k:=k+4;
end;
write(s);
end.
Вопрос 4
var s, n: integer;
begin
s := 100;
n := 300;
while s + n <= 600 do
begin
s := s + 40;
n := n − 20;
end;
writeln(s)
end.
Вопрос 5
var s, n: integer;
begin
s := 500;
n := 200;
while s div n >= 2 do begin
s := s + 5;
n := n + 5
end;
writeln(s)
end.
Получите комплекты видеоуроков + онлайн версии
Пройти тест
Сохранить у себя:
Тесты по информатике 10 класс
0
145
Нравится
0


