Тренировочный итоговый тест за 2 курс
Список вопросов теста
Вопрос 1
Решите неравенство:
\(\frac{\left(х-2\right)\cdot\left(х+9\right)}{4х-5}\le0\)
Варианты ответов
-
\(х\in\left(-\infty;\ -9\right]\ \cup\left(1,25;\ 2\right]\)
-
\(х\in\left(1,25;\ 2\right]\ \cup\left(9;\ +\infty\right]\)
-
\(х\in\left(-2;\ -1,25\right]\ \cup\left(9;\ +\infty\right]\)
-
\(х\in\left(-\infty;\ -9\right)\ \cup\left(1,25;\ 2\right)\)
-
\(х\in\left[-\infty;\ -9\ \right]\cup\left[1,25;\ 2\right]\)
Вопрос 2
Решите уравнение:
\(25^{1+3х}=\frac{1}{125}\)
Варианты ответов
-
\(-\frac{1}{3}\)
-
\(\frac{5}{6}\)
-
\(\frac{1}{6}\)
-
\(\frac{1}{3}\)
-
\(-\frac{5}{6}\)
-
\(-\frac{1}{6}\)
Вопрос 3
\(\sin\left(\pi-x\right)-\cos\left(\frac{\pi}{2}+x\right)=\sqrt{3}\)
Варианты ответов
-
\(\left(-1\right)^{k+1}\frac{\pi}{3}+\pi k,\ k\in Z\)\(-\frac{1}{6}\)
-
\(\left(-1\right)^{k-1}\frac{\pi}{3}+2\pi k,\ k\in Z\)\(-\frac{1}{6}\)
-
\(\left(-1\right)^k\frac{\pi}{3}+2\pi k,\ k\in Z\)
-
\(\frac{\pi}{3}+2\pi k,\ k\in Z\)
-
\(-\frac{\pi}{3}+2\pi k,\ k\in Z\)
-
\(\frac{2\pi}{3}+2\pi k,\ k\in Z\)
-
\(\frac{\pi}{3}+\pi k,\ k\in Z\)
-
\(\frac{2\pi}{3}+\pi k,\ k\in Z\)
Вопрос 4
Функция задана своим графиком. Укажите:
а) область определения функции;
б) при каких значениях х \(f\left(x\right)\ge3,5\);
в) при каких значениях х \(f'\left(x\right)=0\);
г) промежутки возрастания и промежутки убывания функции;
д) наибольшее и наименьшее значения функции
1.
область определения функции;
2.
при каких значениях х \(f\left(x\right)\ge3,5\);
3.
при каких значениях х \(f'\left(x\right)=0\);
4.
промежутки возрастания функции;
5.
промежутки убывания функции;
6.
наибольшее значение функции
7.
наименьшее значение функции
Варианты ответов
-
\(x\in\left(-3,5;\ 4,5\right)\)
-
\(x\in\left[-3,5;\ 4,5\right]\)
-
\(D\left(f\right)=\left[-3,5;\ 6\right]\)
-
\(x\in\left(-3,25;\ 0,25\right)\cup\left(4,25;\ 4,5\right)\)
-
\(x\in\left\{-0,5\right\}\cup\left[5,8;\ 6\right]\)
-
-1; 2,5
-
при х = –0,5 и при х = 3,5;
-
x= 1,2 x=3,61
-
\(x\in\left[-3,5;\ -1\right)\cup\left(2,5;\ 4,5\right]\)
-
x \(\in\) [-3,5; –0,5] и [3,5; 6]
-
(-1; 2,5)
-
\([-0,5;3,5];\)
-
4,5
-
-1
-
-3,5
-
2,5
-
\(x\in\left[-3,5;\ 4\right)\cup\left(1,2;\ 2,2\right]\)
Вопрос 5
Найдите первообразную функции f(x)=4-x2,
график которой прходи через точки (-3, 10)
Варианты ответов
- x=0
- c=31
-
\(c=67\frac{2}{3}\)
-
\(f'\left(x\right)=4x+\frac{x^3}{3}+c\)
-
\(f\left(x\right)=4x+2\frac{x^2}{3}+31\)
-
\(F\left(x\right)=4x+2\frac{x^3}{3}+67\frac{2}{3}\)
-
\(F\left(x\right)=4x+\frac{x^3}{3}+31\)
Вопрос 6
Точка А принадлежит основанию цилиндра, изображенного на рисунке, а точка В- на оси ОО\('\) этого цилиндра.
Скопируйте рисунок и определите, где, внутри или снаружи цилиндра расположена точка С прямой АВ.
Варианты ответов
- внутри
- снаружи
- не знаю.
Вопрос 7
Диагональ квадрата АВСD равна 10 см. Отрезок АМ перпендикулярен поскости квадрата, \(\angleАВМ=60^{\circ}\). Найдите расстояние от точки С до прямой ВD.
Варианты ответов
-
\(МО=5\sqrt{7}см.\)
-
\(МО=7\sqrt{5}см.\)
- не знаю
Вопрос 8
Найдите наибольшее и наименьшее значение функции
\(y=2х^3-3х^2-12х-1\) на отрезке [0; 5]
1.
\(у_{наиб\ =\ }\)
2.
наименшее значение:
Варианты ответов
- 114
- 33
- 106
- -1
- -6
- 116
- 0
- 18
Вопрос 9
Решите неравенство:
\(\left(4х+х^2+3\right)\cdot\sqrt{5х+8}\ge0\)
Варианты ответов
-
\(\left[3;\ \infty\right)\cup\left\{\frac{8}{5}\right\}\)
-
\(\left[-1;\ \infty\right)\)
-
\(\left[-\frac{8}{5};\ 1\right]\cup\left\{3\right\}\)
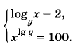
Вопрос 10
Решите систему урвнений:
Варианты ответов
- (100; 10) ; (0,01; 0,1)
-
(16; 4); \(\left(\frac{1}{16};\ \frac{1}{4}\right)\)
-
система не имеет решений


