Тестирование по Электротехнике
Список вопросов теста
Вопрос 1
Расчет цепей с одним источником электрической энергии можно проводить с помощью метода ...
Варианты ответов
- равносильных подстановок
- эквивалентных преобразований
- проб и ошибок
Вопрос 2
Алгебраическая сумма токов в ветвях, сходящихся в узле, равна нулю - это формулировка ... закона Кирхгофа
Варианты ответов
- 1
- 2
- 3
Вопрос 3
Алгоритм расчета разветвленной цепи, не содержащей источников тока, методом уравнений Кирхгофа:
Варианты ответов
- Обозначить токи ветвей и произвольно выбрать их положительное направление.
- Произвольно выбрать опорный узел и совокупность p = m – n + 1 независимых контуров.
- Для всех узлов, кроме опорного, составить уравнения по I закону Кирхгофа. Таких уравнений должно быть n – 1.
- Для каждого выбранного контура составить уравнения по II закону Кирхгофа. Таких уравнений должно быть p.
- Систему m уравнений Кирхгофа с m неизвестными токами решить совместно и определить численные значения токов
Вопрос 4
Метод, который заключается в определении на основании первого закона Кирхгофа потенциалов в узлах электрической цепи относительного некоторого базисного узла
Варианты ответов
- Метод сложения сопротивлений
- Метод эквивалентных преобразований
- Метод узловых потенциалов
Вопрос 5
На каком законе Кирхгофа основан метод контурных токов в расчете электрических цепей?
Варианты ответов
- 1
- 2
- 3
Вопрос 6
Принцип наложения для линейных электрических цепей: ток в ветви равен алгебраической сумме токов в данной ветви. Какой метод расчета цепи применяется на основании данного принципа?
Варианты ответов
- Синхронизации
- Суперпозиции
- Сублемации
Вопрос 7
Изменяющийся по закону синуса (косинуса) с течением времени электрический ток называют ...
Варианты ответов
- Суммарный тангенциальный ток
- Постоянный вертикальный ток
- Переменный синусоидальный ток
Вопрос 8
Вставьте пропущенное слово:
Синусоидально изменяющуюся величину ЭДС со временем можно получить, вращая с постоянной скоростью в однородном магнитном поле проводник в виде ... рамки. При движении проводника в магнитном поле в нем возбуждается ЭДС индукции
Варианты ответов
- треугольной
- круглой
- прямоугольной
Вопрос 9
При вращении витка в магнитном поле с постоянной скоростью изменяется угол между направлением индукции магнитного поля и нормалью к плоскости рамки α = ωt, где ω - угловая скорость. Наибольшее значение ЭДС достигается при угле α = ωt = ...
Варианты ответов
- 90°
- 180°
- 270°
Вопрос 10
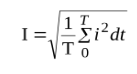
Укажите, какая величина определяется по формуле:

Варианты ответов
- Пассивное значение тока
- Действующее значение тока
- ЭДС
Вопрос 11
В цепи, показанной на рисунке, показание вольтметра равно 200В. Какое напряжение действует на изоляцию проводов?

Варианты ответов
- 220В
- приблизительно 311В
- 200В
Вопрос 12
Мгновенное значение мощности для цепи переменного тока с активным сопротивлением можно представить в виде:
Варианты ответов
-
\(p\ =\ UI\ -\ UI\cos2\omega t\)
-
\(p\ =\ UI\ +\ UI\cos2\omega t\)
-
\(p\ =\ UI\ +\ R\cos2\omega t\)
Вопрос 13
От какой характеристики зависит индуктивное сопротивление катушки (выбрать все верные варианты)
Варианты ответов
- от индуктивности катушки
- от частоты переменного тока
- от напряжения источника
Вопрос 14
В цепи переменного тока с активно-индуктивной нагрузкой напряжение, приложенное к цепи, равно векторной сумме падений напряжений на катушке индуктивности и на резисторе. Выберите верную формулу для данного утверждения:
Варианты ответов
-
U = UL+UR
-
U = UL/UR
-
U = UL+2R
Вопрос 15
Закон Ома для цепи переменного тока с конденсатором описывается формулой:
Варианты ответов
-
I = \(U\omega C\)
-
I = \(UC^2\)
-
I = \(\frac{U}{\omega C}\)
Вопрос 16
Ёмкостная нагрузка — это такая нагрузка, ток в которой опережает напряжение на ... периода
Варианты ответов
- четверть
- половину
- треть
Вопрос 17
Какое соединение имеет цепь переменного тока на схеме:

Варианты ответов
- Параллельное
- Последовательное
- Комбинированное
Вопрос 18
Безразмерная физическая величина, характеризующая потребителя переменного электрического тока с точки зрения наличия в нагрузке реактивной составляющей, носит название ...
Варианты ответов
- Коэффициент тока
- Коэффициент мощности
- Коэффициент полезного действия
Вопрос 19
Какой феномен возникает в цепях переменного тока с последовательным соединением R,L,C- элементов при равенстве
?
Варианты ответов
- Разность потенциалов
- Резонанс сопротивлений
- Резонанс напряжений
Вопрос 20
Условием резонанса напряжений является равенство:
Варианты ответов
-
\(\omega L\ =\ \frac{1}{\omega C}\)
-
\(\omega L\ =\ 1\)
-
\(\omega L\ =\ \omega C\)
Вопрос 21
При резонансе напряжений полное сопротивление цепи вычисляется по формуле:
Варианты ответов
-
\(Z\ =\ \sqrt{R^2+\left(Q_L-Q_C\right)^2}\)
-
\(Z\ =\ \sqrt{R^2+Q_C^2}\)
-
\(Z\ =\ \sqrt{R^2+Q_L^2}\)
Вопрос 22
Мгновенное значение периодического синусоидального тока и напряжения есть мнимая часть произведения комплексной амплитуды тока или напряжения на величину \(e^{j\omega t}\). Какое название имеет данная величина?
Варианты ответов
- Оператор цикла
- Оператор вращения
- Оператор ветвления
Вопрос 23
Если в активно-индуктивной цепи переменного тока протекает переменный синусоидальный ток i, то напряжение в цепи будет определяться ...
Варианты ответов
- значением этого сопротивления
- суммированием напряжений во всех частях цепи
- индуктивностью катушки
Вопрос 24
Укажите фамилию выдающегося русского инженера, который изобрел и разработал в деталях первый трехфазный трансформатор
Варианты ответов
- Столетов
- Курчатов
- Доливо-Добровольский
- Капица
Вопрос 25
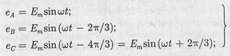
Какие величины вычисляются согласно данной системе формул:

Варианты ответов
- ЭДС фазных обмоток в трехфазной цепи
- ЭДС цепи
- Энергию цепи
Вопрос 26
Какое название имеет узел, который образуют обмотки фаз генератора или фазы приемника при соединении звездой?
Варианты ответов
- Нейтраль
- Нормаль
- Параллель
Вопрос 27
Укажите неверное название приемника с одинаковым сопротивлением трех фаз, то есть:
\(Z_A=Z_B=Z_C=Z_F\)
Варианты ответов
- Несимметричный
- Симметричный
- Произвольный
Вопрос 28
Какой буквой принято обозначать сдвиг фаз?
Варианты ответов
-
\(\lambda\)
-
\(\varphi\)
-
\(\mu\)
Вопрос 29
Укажите векторную диаграмму фазных и линейных напряжений при соединении фаз источника энергии и приемника звездой
Варианты ответов
Вопрос 30
Укажите основное отличие соединения треугольником от соединения звездой в трехфазной цепи
Варианты ответов
- Это соединение красивее
- Имеется два нейтральных провода
- Отсутствует нейтральный провод
Вопрос 31

Исходя из рисунка, в симметричной трехфазной системе для действующих значений линейных и фазных токов справедливо:
\(I_л=2I_ф\cos\ ...\ ^{\circ}\) (заполните пропуск)
Варианты ответов
-
\(30^{\circ}\)
-
\(60^{\circ}\)
-
\(45^{\circ}\)
Вопрос 32
Полная мощность симметричной трехфазной системы определяется формулой:
Варианты ответов
-
\(S=\sqrt{3}I_ЛU_Л\)
-
\(S=I_ЛU_Л\)
-
\(S=\sqrt{3}I_Л\)
Вопрос 33
По назначению технические рабочие приборы делятся на: (укажите верные варианты)
Варианты ответов
- Показывающие
- Самопишущие
- Сигнализирующие
- Регулирующие автоматы
- Измерительные автоматы
- Передающие
- Интерпретирующие
Вопрос 34
Разность между измеренным и действительным значениями измеряемой величины - это ...
Варианты ответов
- Абсолютная погрешность
- Относительная погрешность
- Приведенная погрешность
Вопрос 35
Какой из видов погрешностей оценивает точность измерений?
Варианты ответов
- Абсолютная погрешность
- Относительная погрешность
- Допустимая погрешность
Вопрос 36
Какой из видов погрешностей оценивает точность самого измерительного прибора?
Варианты ответов
- Абсолютная погрешность
- Относительная погрешность
- Приведенная погрешность
Вопрос 37
У какой системы измерительных приборов действие основано на взаимодействии магнитного потока постоянного магнита и измеряемого тока, проходящего по обмотке подвижной катушки, помещенной в этом магнитном поле?
Варианты ответов
- Электромагнитной системы
- Магнитоэлектрической системы
- Электродинамической системы
Вопрос 38
Выберите основные недостатки измерительных приборов магнитоэлектрической системы:
Варианты ответов
- Работает только в цепи постоянного тока
- Чувствителен к перегрузкам
- Высокая стоимость, обусловленная сложностью конструкции
- Большая точность
- Равномерность шкалы
Вопрос 39
У какой системы измерительных приборов принцип действия основан на механизме втягивания подвижного ферромагнитного сердечника внутрь неподвижной катушки под действием ее магнитного поля, создаваемого в катушке проходящим через нее измеряемым током?
Варианты ответов
- Электромагнитной системы
- Магнитоэлектрической системы
- Электродинамической системы
Вопрос 40
У какой системы измерительных приборов принцип действия основан на взаимодействии проводников с токами?
Варианты ответов
- Электромагнитной системы
- Магнитоэлектрической системы
- Электродинамической системы
Вопрос 41
Прибор для измерения силы тока называется ...
Варианты ответов
- Амперметр
- Вольтметр
- Омметр
Вопрос 42
Прибор для измерения напряжения называется ...
Варианты ответов
- Амперметр
- Вольтметр
- Омметр
Вопрос 43
На какой из схем отображено подключение амперметра?
1
2 
Варианты ответов
- 1
- 2
Вопрос 44
На какой из схем отображено подключение вольтметра?
1
2 
Варианты ответов
- 1
- 2





