Тест по теме "Понятие интеграла"
Иванова Анжела Владимировна
26.09.2023.
Тест. Математика, Прочее
Тест по теме "Понятие интеграла" предназначен для студентов СПО
Система оценки:
5** балльная
Список вопросов теста
Вопрос 1
1. Функция F(x) называется первообразной функции f(x), если выполняется условие ...
Варианты ответов
- F'(x) = f(x)
- f'(x) = F(x)
- f(x)=F(x)
Вопрос 2
2. Операция нахождения первообразной называется ...
Варианты ответов
- Интегрированием
- Дифференцированием
- Логарифмированием
Вопрос 3
3. Неопределенный интеграл – это …
Варианты ответов
- совокупность всех первообразных F функции f(x), определенных на некотором промежутке.
- совокупность всех производных функции f(x).
- одна первообразная для f(x).
Вопрос 4
4. Что означает процедура интегрирования?
Варианты ответов
- операция нахождения интеграла
- операция нахождения производной
- преобразование выражения с интегралами
Вопрос 5
5. Вычислите неопределенный интеграл:

Варианты ответов
- 1
- x
- x + C
- 0
Вопрос 6
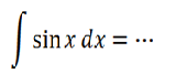
6. Вычислите неопределенный интеграл:

Варианты ответов
- - cos x + C
- sin x + C
- tg x + C
Вопрос 7
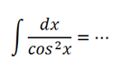
7. Вычислите неопределенный интеграл:

Варианты ответов
- tg x + C
- sin x + C
- - ctg x + C
Вопрос 8
8. С помощью, какой формулы, в основном, решаются задания по нахождению определенного интеграла?
Варианты ответов
- используя таблицу интегралов
- формулы Ньютона - Лейбница
- формулы Коши
Вопрос 9
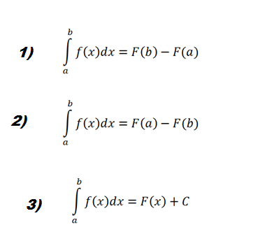
9. Укажите формулу для вычисления определенного интеграла:

Варианты ответов
- 1)
- 2)
- 3)
Вопрос 10
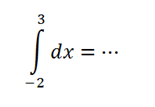
10. Вычислите определенный интеграл:

Вопрос 11
11. Вычислите определенный интеграл:

Вопрос 12
12. Вычислите определенный интеграл:

Получите комплекты видеоуроков + онлайн версии
Пройти тест
Сохранить у себя:
Тесты по математике Прочее
0
486
Нравится
0


