Тест. Контроль по теме "Алгоритмы и исполнители"
Список вопросов теста
Вопрос 1
На экране есть два окна, в каждом из которых написано по числу. У
исполнителя Сумматор две команды, которым присвоены номера:
1. запиши сумму чисел в первое окно
2. запиши сумму чисел во второе окно
Выполняя первую из них, Сумматор складывает числа в окнах и заменяет
этой суммой число в первом окне, а выполняя вторую, складывает числа и заменяет этой суммой число во втором окне. Запишите порядок команд в программе получения из пары чисел 1 и 2 пары чисел 13 и 4, содержащей не более 5 команд, указывая лишь номера команд.
(Например, программа 21211 это программа
запиши сумму чисел во второе окно
запиши сумму чисел в первое окно
запиши сумму чисел во второе окно
запиши сумму чисел в первое окно
запиши сумму чисел в первое окно
которая преобразует пару чисел 1 и 0 в пару чисел 8 и 3.)
Вопрос 2
Исполнитель КАЛЬКУЛЯТОР имеет только две команды, которым присвоены номера:
1. Прибавь 1
2. Умножь на 3
Выполняя команду номер 1, КАЛЬКУЛЯТОР прибавляет к числу на экране 1, а выполняя
команду номер 2, умножает число на экране на 3. Укажите минимальное число команд, которое должен выполнить исполнитель, чтобы получить из числа 37 число 1013.
Вопрос 3
Исполнитель Черепашка перемещается на экране компьютера, оставляя след в виде линии. В каждый конкретный момент известно положение исполнителя и направление его движения. У исполнителя существуют две команды:
Вперед n, где n - целое число, вызывающая передвижение черепашки на n шагов в направлении движения.
Направо m, где m - целое число, вызывающая изменение направления движения на m градусов по часовой стрелке (от 0° до 359°).
Запись Повтори 5 [Команда1 Команда2] означает, что последовательность команд в скобках повторится 5 раз. Исполнитель интерпретирует эту запись как одну команду.
Черепашке был дан для исполнения следующий алгоритм:
Повтори 10 [Вперед 100 Направо X]
На экране появился правильный десятиугольник.
Определить и записать в ответе значение Х.
Вопрос 4
Для составления цепочек используются бусины, помеченные буквами: A, B, C, D, E. На первом месте в цепочке стоит одна из бусин A, C, E. На втором - любая гласная, если первая буква согласная, и любая согласная, если первая гласная. На третьем месте - одна из бусин C, D, E, не стоящая в цепочке на первом месте.
Какая из перечисленных цепочек создана по этому правилу?
Варианты ответов
- CBE
- ADD
- ECE
- EAD
Вопрос 5
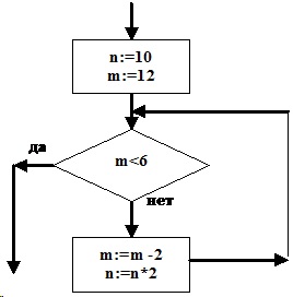
Определите значение переменной n после выполнения фрагмента алгоритма, записанного в виде блок - схемы

Примечание: знаком := обозначена операция присваивания.
В ответе укажите одно число - значение переменной n.
Вопрос 6
Определите значение целочисленных переменных a и b после выполнения фрагмента программы
a: = 5 + 6 * 4;
b: = (a DIV 10) + 17;
a: = (b MOD 10)+ 5;
DIV и MOD - операции, вычисляющие результат деления нацело первого аргумента на второй и остаток от деления соответственно.
В поле для ответа введите два числа (a, b) через запятую.
Вопрос 7
В программе «:=» обозначает оператор присваивания, знаки «+», «-», «*» и «/» - соответственно операции сложения, вычитания, умножения и деления. Правила выполнения операций и порядок действий соответствуют правилам арифметики.
Определите значение переменной a после выполнения алгоритма:
b := 4
a := -3
b := 7 - 2*a - b
a := b/3 - a
В ответе укажите одно целое число - значение переменной a.


