Тест "Арифметический квадратный корень"
Кудашева Светлана Ринатовна
13.10.2020.
Тест. Алгебра, 8 класс
Тест по теме "Арифметический квадратный корень" 8 класс.
Система оценки:
5* балльная
Список вопросов теста
Вопрос 1
Выберите неверное утверждение.
Варианты ответов
- -√1=-1
- √0,64=0,8
- √0,4=0,2
- √2500=50
Вопрос 2
Площадь квадрата равна 0,16 м2. Найдите его сторону.
Варианты ответов
- 0,4м
- 4м
- 1,6м
- 0,04м
- 0,0256
- 0,256
Вопрос 3
Чему равно значение корня
Варианты ответов
- 0,04
- 0,4
- 4
- √1,6
Вопрос 4
Выберите верное утверждение
Варианты ответов
- Арифметическим квадратным корнем из числа а называется неотрицательное число, квадрат которого равен а.
- Операцию нахождения арифметического квадратного корня из числа, называют извлечением корня.
- Квадратным корнем из числа а называют само число а.
- Арифметическим квадратным корнем из числа а называется только положительное число, квадрат которого равен а.
Вопрос 5
Вычислите

Варианты ответов
- 0,0001
- 0,1
- 1
- 0,0101
Вопрос 6
Найдите значение выражения при а = 98, b = -17.

Варианты ответов
- 81
- 9
- -9
- 115
Вопрос 7
Найдите значение выражения.

Варианты ответов
- 100
- -1
- 1,4
- 0,6
- 0,8
- 0,6 и 0,8
Вопрос 8
Найдите значение данного выражения.

Варианты ответов
- 1,2
- 10,2
- 20,6
- 26
- нет верного ответа
Вопрос 9
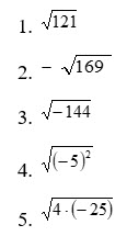
Найдите значение переменной х, при котором верно данное равенство.

Вопрос 10
Выбирете верный ряд ответов

Варианты ответов
- 11 -13 нет решения 5 нет решения
- 11 -13 12 -5 -10
- 11 -13 12 -25 -10
- 11 -13 -12 5 нет решения
- 11 -13 -12 5 -10
- нет верного ответа
Получите комплекты видеоуроков + онлайн версии
Пройти тест
Сохранить у себя:
Тесты по алгебре 8 класс
0
5140
Нравится
0


