Итоговый тест
Список вопросов теста
Вопрос 1
Найти область определения функции: \(y=\lg\frac{x+1}{2x-1}\)
Варианты ответов
-
\(x\in\left(-\infty\text{;-1}\right)\cup\left(\frac{1}{2};+\infty\right)\)
-
\(x\in\left(-1;-\infty\right]\cup\left(-1;\frac{1}{2}\right)\)
-
\(x\in\left(-1;-\infty\right]\cup\left(\frac{1}{2};+\infty\right)\)
Вопрос 2
Вычислите: \(^{\left(27^{\frac{2}{5}}\ast2^{\frac{1}{5}}\ast2\right)^{^{^{\frac{5}{6}}}}}\)
Варианты ответов
- 9
- 3
- 6
Вопрос 3
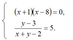
Решите систему уравнений:
Варианты ответов
-
\(\left(-1;3\right),\left(8;-8\frac{1}{4}\right)\)
-
\(\left(8;-8\frac{1}{4}\right)\)
-
\(\)\(\left(-8;8\frac{1}{4}\right)\)
Вопрос 4
Решите уравнение: \(\sqrt{2x+29}=3-x\)
Варианты ответов
-
\(\)\(x=10\)
-
\(\)\(x=3\)
-
\(x=-2\)\(\)
Вопрос 5
Решите задачу:
Образующая конуса равна 10 см. и наклонена к плоскости основания под углом в 600. Найдите площадь поверхности конуса.
Варианты ответов
-
\(S=45\pi\ cm^2\)\(\)
-
\(S=\pi5\sqrt{3}\left(5\sqrt{3+10}\right)cm^2\ \ \)\(\)
-
\(S=35\pi\ cm^2\)\(\)


