Тест 8
Автор скрыт
27.03.2020.
Тест. Алгебра, 11 класс
Повторение курса алгебры и начала анализа 10-11 классы ( профильный уровень)
Система оценки:
5 балльная
Список вопросов теста
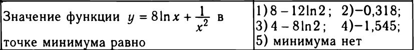
Вопрос 1
Варианты ответов
- 1
- 2
- 3
- 4
- 5
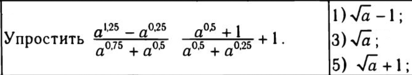
Вопрос 2
Варианты ответов
- 1
- 2
- 3
- 4
- 5
Вопрос 3
Варианты ответов
- 1
- 2
- 3
- 4
- 5
Вопрос 4
Варианты ответов
- 72,5
- 73,5
- 75,5
- 77,5
- 82,5
Вопрос 5
Варианты ответов
- 1
- 2
- 3
- 4
- 5
Вопрос 6
Варианты ответов
- 1
- 2
- 3
- 4
- 5
Вопрос 7
Варианты ответов
- 7
- 8
- 9
- 10
- 11
Вопрос 8
Варианты ответов
- 1
- 2
- 3
- 4
- 5
Вопрос 9
Варианты ответов
- 1
- 2
- 3
- 4
- 5
Вопрос 10
Варианты ответов
- 1
- 2
- 3
- 4
- 5
Вопрос 11
Варианты ответов
- 1
- 2
- 3
- 4
- 5
Вопрос 12
Варианты ответов
- 1
- 2
- 3
- 4
- 5
Вопрос 13
Варианты ответов
- 1
- 2
- 3
- 4
- 5
Вопрос 14
Варианты ответов
- 1
- 2
- 3
- 4
- 5
Вопрос 15
Варианты ответов
- 1
- 2
- 3
- 4
- 5
Вопрос 16
Варианты ответов
- 1
- 2
- 3
- 4
- 5
Вопрос 17
Варианты ответов
- 1
- 2
- 3
- 4
- 5
Вопрос 18
Варианты ответов
- 1
- 2
- 3
- 4
- 5
Вопрос 19
Варианты ответов
- 1
- 2
- 3
- 4
- 5
Вопрос 20
Варианты ответов
- 1
- 2
- 3
- 4
- 5
Вопрос 21
Варианты ответов
- 1
- 2
- 3
- 4
- 5
Вопрос 22
Варианты ответов
- 1
- 2
- 3
- 4
- 5
Вопрос 23
Варианты ответов
- 1
- 2
- 3
- 4
- 5
Получите комплекты видеоуроков + онлайн версии
Пройти тест
Сохранить у себя:
Тесты по алгебре 11 класс
0
118
Нравится
0


