Тест 7.3 Двоичное кодирование (1 вариант)
Тест 7.3 Двоичное кодирование составлен по учебнику А.Г. Кушниренко Информатика 7 класс по параграфу 2 Двоичное кодирование
Список вопросов теста
Вопрос 1
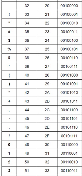
Изучите фрагмент кодировки ASCII. Подсчитайте, сколько комбинаций в таблице заканчиваются цифрой 0. Впишите в поле ввода ответ, например, 7.

Вопрос 2
Вспомним, если в алфавите 2 состояния (0,1) и нужно написать все комбинации из двух битов, то получим 2^2=4, то есть всего четыре комбинации: 00 01 10 11.
А теперь решите задачу:
В одном из первых отечественных компьютеров "Сетунь" использовались не биты, а триты - переключатели, которые могут принимать не два, а три состояния. Условно будем обозначать эти состояния 0, 1, 2. Напишите все комбинации из двух тритов в алфавитном порядке (считае, что в алфавите сначала идет 0, потом 1, потом 2).
Подсказка: всего комбинаций будет 9, так как 3^2=9. Все комбинации запишите через пробел.
Вопрос 3
Вспомните, что количество комбинаций из двух битов считается по формуле 2^2=4. Выпишем их в алфавитном порядке: 00 01 10 11.
Выпишите в алфавитном порядке все комбинации из трех тритов, начинающиеся с цифры 0.
Вопрос 4
Сколько существует двоичных последовательностей, содержащих не более двух бит?
Вопрос 5
Сколько шестнадцатеричных цифр потребуется, чтобы закодировать двоичные данные, длина которых 8 бит?
Вопрос 6
Сколько шестнадцатеричных цифр потребуется, чтобы закодировать двоичные данные, длина которых 4 байта?
Вопрос 7
Закодируйте шестнадцатеричными цифрами следующие двоичные последовательности:
0011
Вопрос 8
Восстановите двоичную последовательность длины 8 по шестнадцатеричному коду
0А
Вопрос 9
Сколько существует последовательностей шестнадцатеричных цифр длины 2 (то есть содержащих ровно 2 цифры)?
Вопрос 10
Закодируйте слово МИР в кодировке Windows-1251. Сколько бит для этого потребуется?
Вопрос 11
В кодировке ASCII десятичным кодам цифр соответствуют занчения от 48 до 57, кодам заглавных латинских букв - значения от 65 до 90, кодам строчных латинских букв - от 97 до 122. Дано сообщение: 23. Вычислите сумму десятичных кодов при прикодировании в ASCII.
Вопрос 12
Дано слово ДЕНЬ. Запишите его десятичный код по таблице Windows-1251.


