Свойства степеней
Автор скрыт
19.04.2021.
Тест. Алгебра, 9 класс
Решение типовых заданий ОГЭ по математике на применение свойств степеней при нахождении значения числового или алгебраического выражений
Система оценки:
5 балльная
Список вопросов теста
Вопрос 1
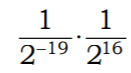
Найдите значение выражения
Вопрос 2
Найдите значение выражения
Вопрос 3
Найдите значение выражения
Вопрос 4
Найдите значение выражения
Вопрос 5
Найдите значение выражения
Вопрос 6
Найдите значение выражения
Вопрос 7
Найдите значение выражения
Вопрос 8
Найдите значение выражения
Вопрос 9
Найдите значение выражения
Вопрос 10
Найдите значение выражения
Вопрос 11
Найдите значение выражения
Вопрос 12
Найдите значение выражения
Вопрос 13
Найдите значение выражения
Вопрос 14
Найдите значение выражения
Вопрос 15
Найдите значение выражения
Вопрос 16
Найдите значение выражения
Вопрос 17
Найдите значение выражения
Вопрос 18
Найдите значение выражения
Вопрос 19
Найдите значение выражения
Вопрос 20
Найдите значение выражения
Получите комплекты видеоуроков + онлайн версии
Пройти тест
Сохранить у себя:
Тесты по алгебре 9 класс
0
395
Нравится
0


