Степень с целым показателем
Осипенко Наталья Александровна
24.04.2020.
Тест. Алгебра, 8 класс
Данный тест проверит знания, умения и навыки учащихся по теме "Степень с целым показателем"
Система оценки:
5 балльная
Список вопросов теста
Вопрос 1
Верно ли, что выражение 0\(^к\) , где к- целое число, не имеет смысла
Варианты ответов
- да
- нет
Вопрос 2
Найди значение выражения (-4)\(^{-3}\)
Варианты ответов
- -64
-
-\(\frac{1}{64}\)
-
\(\frac{1}{64}\)
- 64
Вопрос 3
Найди значение выражения \(\binom{2}{3}^{-4}\)
Варианты ответов
-
\(-\ \frac{16}{81}\)
-
\(\ \frac{16}{81}\)
-
\(\ \frac{81}{16}\)
-
\(-\ \frac{81}{16}\)
Вопрос 4
Упростить выражение

Варианты ответов
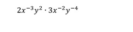
Вопрос 5
.
Упростить выражение

Варианты ответов
-
5х\(^2\)у\(^4\)
-
25х\(^2\)у\(^4\)
-
5х\(^{-2}\)у\(^{-2}\)
-
х\(^2\)у\(^2\)
Вопрос 6
Запишите в стандартном виде число 3200000 ( Ответ вводить в виде A*10^(N) , клавиатура английская, без пробелов. ).
Вопрос 7
Запишите в стандартном виде число 0,00000176 ( Ответ вводить в виде A*10^(N) , клавиатура английская, без пробелов. ).
Получите комплекты видеоуроков + онлайн версии
Пройти тест
Сохранить у себя:
Тесты по алгебре 8 класс
0
91
Нравится
0







