СР по теме "Предел функции на бесконечности"
Иушина Анастасия Андреевна
18.10.2020.
Тест. Математика, Прочее
Самостоятельная работа по теме "Предел функции на бесконечности" для студентов второго курса ОСПО
Система оценки:
Зачёт/Незачёт
Список вопросов теста
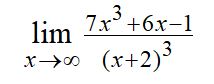
Вопрос 1
Вычислите значение предела функции на бесконечности:
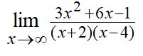
Вопрос 2
Вычислите значение предела функции на бесконечности:
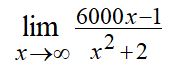
Вопрос 3
Вычислите значение предела функции на бесконечности:
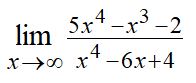
Вопрос 4
Вычислите значение предела функции на бесконечности:
Вопрос 5
Вычислите значение предела функции на бесконечности:
Получите комплекты видеоуроков + онлайн версии
Пройти тест
Сохранить у себя:
Тесты по математике Прочее
0
478
Нравится
0


