СР по теме "Первый замечательный предел"
Иушина Анастасия Андреевна
19.10.2020.
Тест. Математика, Прочее
Самостоятельная работа по теме "Первый замечательный предел" для студентов второго курса ОСПО
Система оценки:
Зачёт/Незачёт
Список вопросов теста
Вопрос 1
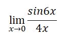
Вычислить предел функции с помощью формул первого замечательного предела:
Вопрос 2
Вычислить предел функции с помощью формул первого замечательного предела:
Вопрос 3
Вычислить предел функции с помощью формул первого замечательного предела:
Вопрос 4
Вычислить предел функции с помощью формул первого замечательного предела:
Вопрос 5
Вычислить предел функции с помощью формул первого замечательного предела:
Получите комплекты видеоуроков + онлайн версии
Пройти тест
Сохранить у себя:
Тесты по математике Прочее
0
2543
Нравится
0


