СОР за 4 четверть по физике 7 класс
Список вопросов теста
Вопрос 1
Определите вид энергии тел, изображенных на рисунке:
Варианты ответов
- кинетическая, кинетическая
- потенциальная, кинетическая
- кинетическая, потенциальная
- потенциальная, потенциальная
Вопрос 2
Самолет массой 60000 кг летит на высоте 12000 м со скоростью 720 км/ч. Вычислите кинетическую энергию, которой обладает самолет.
Варианты ответов
-
1,2.105Дж
-
1,2*109Дж
-
1,2.107Дж
-
1,2.1012Дж
Вопрос 3
Самолет массой 60000 кг летит на высоте 12000 м со скоростью 720 км/ч. Вычислите потенциальную энергию, которой обладает самолет.
Варианты ответов
-
9.106Н
-
9,4.104Дж
-
7,2.109Н
-
6,4.108Дж
Вопрос 4
Приведи пример использования простых механизмов -
Вопрос 5
На рисунке изображен рычаг, имеющий ось вращения в точке О. Определите массу груза, который надо подвесить в точку В, чтобы рычаг был в равновесии, если АО=6 см, ОВ=3 см.Запиши в строку ответ с единицами измерения.Например: 0,4 кг
Вопрос 6
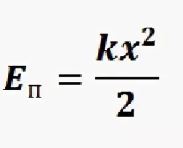
Потенциальная энергия упруго-деформированного тела расчитывается по формуле:
Варианты ответов
Вопрос 7
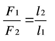
По данной формуле определяют:
Варианты ответов
- условия гидравлических машин
- условие плавания тел
- условие потенциальных сил
- условие равновесия рычага
Вопрос 8
Установи истинность данного утверждения:
Варианты ответов
- Во сколько раз плечо силы рабочего больше плеча силы тяжести, во столько же раз рабочий выигрывает в силе.
Вопрос 9
Выведи из формулы условия равновесия рычага, формулу для вычисления F2
Варианты ответов
-
F2=\(\frac{F_1l_1}{l_2}\)
-
F2=\(\frac{F_1l_2}{l_1}\)
-
F2=\(F_1l_2\)
-
F2=\(F_1l_1\)
-
F2=mg


