СОР по физике 8 кл- 2 вариант
Список вопросов теста
Вопрос 1
Установи истинность/ложность данных утверждений:
Варианты ответов
- В однородной прозрачной среде свет не распространяется.
Вопрос 2
Установи истинность/ложность данных утверждений:
Варианты ответов
- Луч, прошедший в другую среду, называют преломленным лучом.
Вопрос 3
Установи истинность/ложность данных утверждений:
Варианты ответов
- Плоское зеркало дает увеличенное по размерам изображение.
Вопрос 4
Дана линза с оптической силой +5 дптр. Определи фокусное расстояние линзы. В строку запиши только ответ. Например: 0,54
Вопрос 5
Дана линза с оптической силой +3 дптр. К какому виду относится данная линз?
Варианты ответов
- собирающая
- рассеивающая
Вопрос 6
Луч света падает на зеркальную поверхность. Определите угол отражения. В строку запишите, только ответ. Например: 42
Вопрос 7
К формулировке какого закона относится утверждение: "свет в прозрачной среде распространяется прямолинейно"
Варианты ответов
- закон преломления света
- закон распространения света
- закон отражения света
Вопрос 8
Полное солнечное затмение наблюдается...
Варианты ответов
- Когда Луна оказывается между Землей и Солнцем и поглощает или отражает идущий к нашей планете свет; везде
- Никогда не наблюдается
- Когда Земля, Луна и Солнце находятся на одной линии; только в тех местах земной поверхности, куда попадает тень Луны
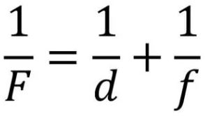
Вопрос 9
Данная формула называется:
Варианты ответов
- формула отраженного луча
- формула тонкой линзы
- формула преломления
- формула полного внутреннего отражения
Вопрос 10
Луч построен верно на рисунке
Варианты ответов
- №1
- №2
- №3
Вопрос 11
Ученик получил изображение собирающей линзы, между фокусом и двойным фокусным расстоянием. Охарактеризуй данное изображение.
Варианты ответов
- уменьшенное перевернутое действительное изображение, расположенное между F и 2 F.
- увеличенное перевернутое действительное изображение, расположенное за 2 F.
- мнимое, прямое и увеличенное изображение, между F и 2F.
Вопрос 12
Угол преломления светового луча — это угол между преломленным лучом и
Варианты ответов
- границей раздела сред
- падающим лучом
- перпендикуляром к границе раздела сред в точке падения светового луча
- отраженным лучом


