Сочетания и их свойства
Список вопросов теста
Вопрос 1
Как называются соединения, каждое из которых содержит n элементов, взятых из данных m разных элементов, и которые отличаются друг от друга по крайней мере одним элементом?
Варианты ответов
-
Сочетаниями из m элементов по n в каждом
-
Перестановками из m элементов по n в каждом
-
Размещениями из m элементов по n элементов
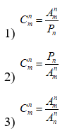
Вопрос 2
Выберите верную формулу.

Варианты ответов
- 1
- 2
- 3
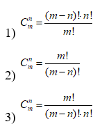
Вопрос 3
Выберите верную формулу.

Варианты ответов
- 1
- 2
- 3
Вопрос 4
Отметьте верные равенства.

Варианты ответов
- 1
- 2
- 3
- 4
Вопрос 5
Вычислите 
Вопрос 6
Вычислите 
Вопрос 7
Сопоставьте выражения и их значения.
1.
4950
2.
15
3.
56
Варианты ответов
Вопрос 8
Сколько различных аккордов, содержащих 3 звука, можно взять на 13 клавишах одной октавы?
Вопрос 9
Чему равно значение данного выражения?

Варианты ответов
- 105
- 560
- 1250
Вопрос 10
На окружности отмечено 12 точек. Сколько существует треугольников с вершинами в этих точках?





