Схемы. Вариант 2
Список вопросов теста
Вопрос 1
Общее свойство схем:
Варианты ответов
- отсутствие условных обозначений
- точность внешнего вида объекта
- отражение динамики изменения данных
- отражение основной информации об объекте
Вопрос 2
Схематично-инфомационная модель зрительного зала
Варианты ответов
- фотография интерьера
- план территории
- схема аварийных выходов
- макеты мебели
Вопрос 3
Информацинная модел, котрую целесообразно использовать для отраженияразличных связей между объектами ( с указание названия этих связей)
Варианты ответов
- ориентированный граф
- семантическая сеть
- дерево
- неориентированный граф
Вопрос 4
Информационную модель, отражающую отношения "друзья в социальной сети" рационально представить в виде
Варианты ответов
- схемы
- дерева
- плана
- графа
Вопрос 5
Впишите пропущенное слово
________________________ - это граф иерархической системы. (ответ запишите с маленькой буквы в Именительном падеже)
Вопрос 6
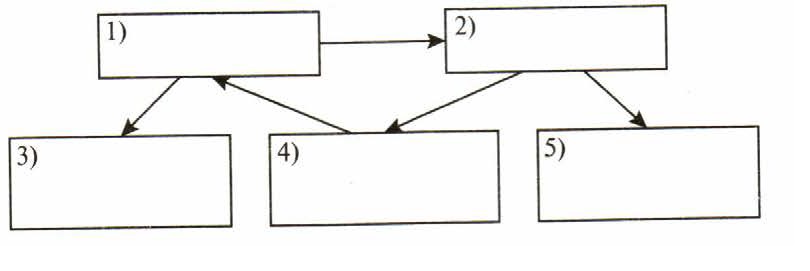
Услановите соотвествие, используя текст.
Алёша отправил сообщение Люде и Насте. Настя переслала его Ване и Пете. Ваня отправил сообщение Алёше.

1.
1
2.
2
3.
3
4.
4
5.
5
Варианты ответов
- Алёша
- Ваня
- Петя
- Люда
- Настя


