Системы уравнений
Автор скрыт
05.05.2020.
Тест. Алгебра, 7 класс
Решение систем способом подстановки, сложение. Решение задач с помощью систем уравнений
Система оценки:
5* балльная
Список вопросов теста
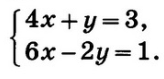
Вопрос 1
Решите систему уравнений: 
Вопрос 2
Банк продал предпринимателю г-ну Разину 8 облигаций по 2000 р. и 3000 р. Сколько облигаций каждого номинала купил г-н Разин, если за все облигации было заплачено 19000 р.?
Варианты ответов
- (5; 3)
- (2; 10)
- ( -1; 0)
- (5; 7)
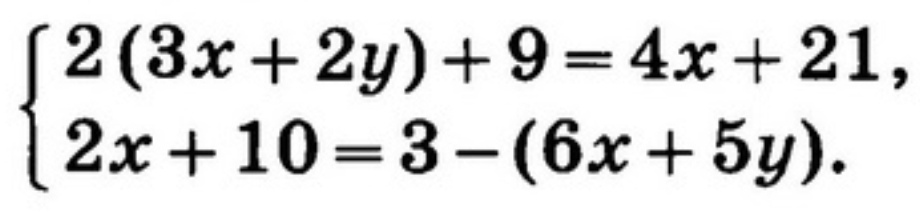
Вопрос 3
Решите систему уравнений: 
Варианты ответов
- (6; -7)
- (0; 2)
- (-4; 5)
- (1; 3)
Вопрос 4
Прямая y = kx + b проходит через точки А(3; 8) и В (–4; 1). Напишите уравнение этой прямой.
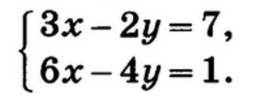
Вопрос 5
Выясните, имеет ли решение система: 
Варианты ответов
- одно решение
- бесконечно много решений
- не имеет решений
Получите комплекты видеоуроков + онлайн версии
Пройти тест
Сохранить у себя:
Тесты по алгебре 7 класс
0
299
Нравится
0


