Системы линейных уравнений с 2 переменными
Гуськова Елена Евгеньевна
09.04.2020.
Тест. Алгебра, 7 класс
Блиц-опрос по теме. Проверка усвоения основных понятий.
Система оценки:
5 балльная
Список вопросов теста
Вопрос 1
Какие из перечисленных уравнений являются линейными?
Варианты ответов
- x - 2y = 1
- xy + 3y =-18
-
x2 + 2y = 5
-
-x – y = -11
Вопрос 2
Какая пара чисел является решением уравнения 3x - 2y=5?
Варианты ответов
- (2; 0)
- (1; -1)
- ( 1 ; 0,5)
- (1; - 0,5)
Вопрос 3
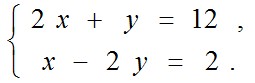
Какая пара чисел является решением системы:

Варианты ответов
- (2;0)
- ( 1;-2)
- (4; 4)
- (5,2; 1,6)
Вопрос 4
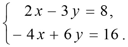
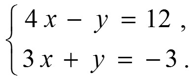
Какая из перечисленных систем имеет бесконечно много решений?
Варианты ответов
- 1
- 2
- 3
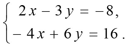
Вопрос 5
Какая из перечисленных систем имеет 1 решение?
Варианты ответов
- 1
- 2
- 3
Получите комплекты видеоуроков + онлайн версии
Пройти тест
Сохранить у себя:
Тесты по алгебре 7 класс
0
185
Нравится
0





