Системы линейных уравнений и неравенств
Список вопросов теста
Вопрос 1
Решить систему линейных уравнений:

Ответ записываем в круглых скобках через точку с запятой.
Например: ответ х = 9 y = -2,5, вводим (9;-2,5)
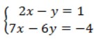
Вопрос 2
Решить систему линейных уравнений:

Ответ записываем в круглых скобках через точку с запятой.
Например: ответ х = -3,2 y = -2, вводим (-3,2;-2)
Вопрос 3
Решить систему линейных уравнений:

Ответ записываем в круглых скобках через точку с запятой.
Например: ответ х = -3,2 y = -2,4, вводим (-3,2;-2,4)
Вопрос 4
Решить систему линейных неравенств:

Варианты ответов
-
\(x\in\left(4;+\infty\right)\)
-
\(x\in\left[4;+\infty\right)\)
-
\(x\in\left(1,3;+\infty\right)\)
-
\(x\in\left[1,3;+\infty\right)\)
Вопрос 5
Решить систему линейных неравенств:

Варианты ответов
-
\(x\in\left(-3;5\right)\)
-
\(x\in\left[-3;5\right)\)
-
\(x\in\left(-3;5\right]\)
-
\(x\in\left[-3;5\right]\)
Вопрос 6
Решить систему линейных неравенств:
\(x+1\ge5\)
\(2x-5<0\)
Варианты ответов
-
\(x\in\left(-\infty;2,5\right)\cup\left[4;+\infty\right)\)
-
\(x\in\left(2,5;4\right)\)
-
\(x\in\left(2,5;4\right]\)
-
решений нет
-
действительных корней нет


