Системы линейных уравнений
Зотова Оксана Павловна
13.05.2020.
Тест. Алгебра, 7 класс
Решение систем линейных уравнений способом подстановки
Система оценки:
5 балльная
Список вопросов теста
Вопрос 1
Решить систему способом подстановки:

Ответ записать в виде координаты точки. Например(х;у)
Вопрос 2
Решить систему способом подстановки:

Ответ в виде координаты
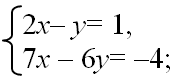
Вопрос 3
Решить систему способом подстановки:

Ответ в виде координаты точки (а;в)
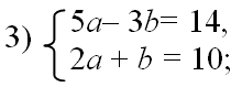
Вопрос 4
Решить систему способом подстановки:

Ответ в виде координаты
Получите комплекты видеоуроков + онлайн версии
Пройти тест
Сохранить у себя:
Тесты по алгебре 7 класс
0
173
Нравится
0


