Системы линейных уравнений
Петричкович Ольга Ивановна
19.03.2020.
Тест. Алгебра, 7 класс
Тестовые задания по теме "Системы линейных уравнений"
Система оценки:
12 балльная
Список вопросов теста
Вопрос 1
Если 5x + 3y = 1, то x = ...
Варианты ответов
- (1 + 3y) / 5
- 5 (1 - 3y)
- (1 - 3y) / 5
- (-1 - 3y) / 5
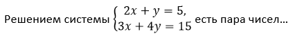
Вопрос 2
Варианты ответов
- (2; 1)
- (1; 3)
- (3; -1)
- (0; 5)
Вопрос 3
Варианты ответов
- (3;-2)
- (-3;2)
- (-1;2)
- (0;1)
Вопрос 4
Варианты ответов
- (3;-2)
- (-3;2,5)
- (-3,5;-1,5)
- (0;1)
Вопрос 5
Варианты ответов
- (4/3;-2/3)
- (4;2)
- (-4;-6)
- (2;2)
Вопрос 6
2х-у=3 График уравнения проходит через точку :
Варианты ответов
- (2;0)
- (1;5)
- (3;2)
- (2;1)
Получите комплекты видеоуроков + онлайн версии
Пройти тест
Сохранить у себя:
Тесты по алгебре 7 класс
0
225
Нравится
0


