Системы линейных уравнений (2 вариант). 05.04.2023
Автор скрыт
21.04.2022.
Тест. Алгебра, 7 класс
Системы линейных уравнений (2 вариант). Записать необходимые вычисления в домашнюю работу
Система оценки:
5** балльная
Список вопросов теста
Вопрос 1

Варианты ответов
- 1)
- 2)
- 3)
- 4)
Вопрос 2

Варианты ответов
- 1)
- 2)
- 3)
- 4)
Вопрос 3

Варианты ответов
- 1)
- 2)
- 3)
- 4)
Вопрос 4

Варианты ответов
- 1)
- 2)
- 3)
- 4)
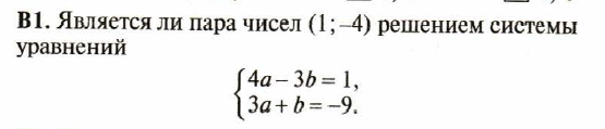
Вопрос 5

Варианты ответов
- является
- не является
Получите комплекты видеоуроков + онлайн версии
Пройти тест
Сохранить у себя:
Тесты по алгебре 7 класс
0
231
Нравится
0


