Системы линейных неравенств с одной переменной
Список вопросов теста
Вопрос 1
Составьте верное соответствие:
1.
Решением является пересечение множеств решений каждого неравенства
2.
Решением является объединение решений каждого неравенства.
Варианты ответов
- Совокупность неравенств
- Система неравенств
Вопрос 2
Укажите множество, которое будет пересечением множеств, показанных на рисунке
Варианты ответов
- (-∞; -3)
- (-∞; -3]
- [-3; 10)
- (-∞; 10)
- [-3; 10]
Вопрос 3
Укажите множество, которое будет объединением множеств, показанных на рисунке
Варианты ответов
- (-∞; -3)
- (-∞; -3]
- [-3; 10)
- (-∞; 10)
- [-3; 10]
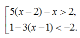
Вопрос 4
Выберите верное решение системы неравенств:

Варианты ответов
- (2; 3)
- (-∞; 2)
- (2; +∞)
- (-∞; 3)
- (3; +∞)
Вопрос 5
Укажите правую границу промежутка, который является решением двойного неравенства:

Вопрос 6
Укажите наибольшее целое число, которое является решением неравенства:

Вопрос 7
Укажите промежутки, которые входят в решение совокупности:

Варианты ответов
- (-∞; -1,5)
- (-1,5; 0,2)
- (-1,5; 0,2]
- (0,2; +∞)
- [0,2; +∞)
Вопрос 8
Выберите верное решение совокупности неравенств:

Варианты ответов
- (2; 3)
- (-∞; 2)
- (2; +∞)
- (-∞; +∞)
- (3; +∞)
Вопрос 9
Выберите верное решение системы неравенств:

Варианты ответов
- (-1,5; 0,2)
- (-∞; -1,5)
- (0,2; +∞)
- (-∞; +∞)
- нет решений
Вопрос 10
Выберите верное решение системы неравенств:

Варианты ответов
- (1; 3,5)
- (-∞; 1)
- (3,5; +∞)
- (-∞; +∞)
- нет решений


