Системы линейных алгебраических уравнений
Список вопросов теста
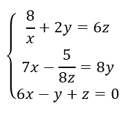
Вопрос 1
среди предложенных уравнений выберите линейные
(ответов может быть более одного)
Варианты ответов
-
\(2x-3y=6xz\)
-
\(2x-3y=6z-3\)
-
\(\frac{2}{x}-\frac{y}{5}=z-3\)
-
\(\frac{2x}{5}+\frac{3y}{7}=1\)
-
\(^{2x^3}-4y=9\)
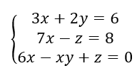
Вопрос 2
среди предложенных систем уравнений выберите линейные
(ответов может быть более одного)
Варианты ответов
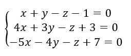
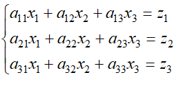
Вопрос 3
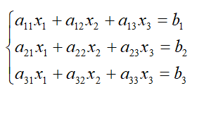
дана СЛАУ
выберите соответствующую ей матрицу системы
Варианты ответов
-
-
-
-
нет соответствующей матрицы
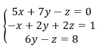
Вопрос 4
введите сумму элементов столбца свободных членов СЛАУ
Вопрос 5
введите сумму элементов побочной диагонали матрицы СЛАУ
Вопрос 6
введите значение вспомогательного определителя \(\bigtriangleup_y\) СЛАУ
Вопрос 7
Системой трёх линейных уравнений с тремя неизвестными называется…
Варианты ответов
Вопрос 8
Если определитель системы линейных уравнений не равен нулю, то система...
Варианты ответов
- имеет бесконечное множество решений;
- не имеет решения;
- имеет единственное решение;
- имеет два решения.
Вопрос 9
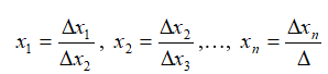
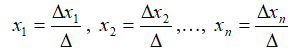
Для решения системы линейных уравнений методом Крамера используют формулы…
Варианты ответов
Вопрос 10
Система линейных алгебраических уравнений имеет единственное решение, если…
Варианты ответов
- определитель системы и все вспомогательные определители равны нулю;
- определитель системы равен нулю, а хотя бы один из вспомогательных определителей не равен нулю;
- определитель системы не равен нулю
- определитель системы не существует
Вопрос 11
Система линейных алгебраических уравнений имеет бесконечное множество решений, если…
Варианты ответов
- определитель системы и все вспомогательные определители равны нулю;
- определитель системы равен нулю, а хотя бы один из вспомогательных определителей не равен нулю;
- определитель системы не равен нулю
- определитель системы равен единице.
Вопрос 12
Матрицей системы линейных алгебраических уравнений называется матрица...
Варианты ответов
- составленная для неизвестных
- составленная из свободных членов
- составленная из коэффициентов при неизвестных
- составленная из коэффициентов при неизвестных плюс столбец свободных членов
Вопрос 13
введите произведение элементов последнего столбца расширенной матрицы СЛАУ
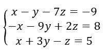
Вопрос 14
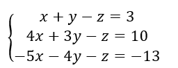
для данной СЛАУ найдите решение и введите значение переменной y
Вопрос 15
СЛАУ не имеет решений, если ...
Варианты ответов
- определитель системы не равен нулю
- определитель системы и все вспомогательные определители равны нулю
- определитель системы равен нулю, а хотя бы один из вспомогательных определителей не равен нулю;
- определитель системы не существует


