Синус, косинус, тангенс, котангенс острого угла. Вариант 1.
Пахомова Елена Михайловна
16.03.2023.
Тест. Математика, 8 класс
Задания направлены на обобщение темы и работа рассчитана на 30 минут
Система оценки:
5*** балльная
Список вопросов теста
Вопрос 1
Какое из следующих утверждений верно?
Варианты ответов
- Тангенсом острого угла в прямоугольном треугольнике называется отношение противолежащего катета к прилежащему катету
- Косинус острого угла прямоугольного треугольника равен отношению гипотенузы к прилежащему к этому углу катету
- Значение синуса острого угла в прямоугольном треугольнике всегда больше единицы
Вопрос 2

Варианты ответов
-
\(\frac{МР}{КР}\)
-
\(\frac{КР}{МР}\)
-
\(\frac{МР}{МК}\)
-
.\(\frac{МК}{МР}\)
Вопрос 3

Вопрос 4

Ответ запишите в виде целого числа или десятичной дроби без пробелов
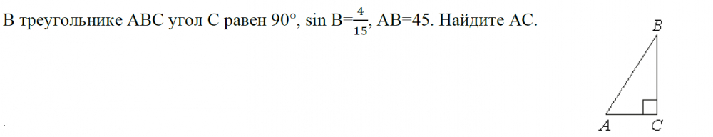
Вопрос 5

Вопрос 6

Ответ запишите в виде целого числа или десятичной дроби без пробелов
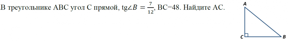
Вопрос 7

Вопрос 8

Ответ запишите в виде целого числа или десятичной дроби без пробелов.
Получите комплекты видеоуроков + онлайн версии
Пройти тест
Сохранить у себя:
Тесты по математике 8 класс
0
1481
Нравится
0


