Самостоятельная работа
Рыжкова Любовь Анатольевна
15.05.2024.
Тест. Алгебра, 8 класс
работа содержит задания по темам линейные и квадратные уравнения, линейные неравенства и системы. арифметический квадратный корень.
Система оценки:
5** балльная
Список вопросов теста
Вопрос 1
решить уравнение: 15х + 20 = 25х
Вопрос 2
решить уравнение : х2-2х - 15=0
в ответ запишите больший из корней
Вопрос 3
Решить уравнение: х2 - 144 = 0
Варианты ответов
- 0
- 144
- 12 и -12
- 12
Вопрос 4
Решить уравнение: 5х2- 45 = 0
в ответ запишите сумму корней
Варианты ответов
- 0
- 9
- -3
- 3
Вопрос 5
Решить уравнение:
х2+ 5х = 0
Варианты ответов
- 0
- 5 и -5
- 0 и 5
- -5 и 0
Вопрос 6
Решите уравнение: 2х2-х-3=0
Варианты ответов
- 0
- 1,5 и 1
- 1,5 и -1
- -1,5 и 1
Вопрос 7
решите не равенство:
\(10х>7х+6\)
1)\(х<2\)
2)\(х>2\)
3)\(х>6\)
4)\(х<6\)
Варианты ответов
- 1
- 2
- 3
- 4
Вопрос 8
решите не равенство:
\(15х+8<7+13х\)
1)\(х<0,5\)
2)\(х>0,5\)
3)\(х>-0,5\)
4)\(х<-0,5\)
Варианты ответов
- 1
- 2
- 3
- 4
Вопрос 9
Решить неравенство:\(18-2х\leх+3\)
1)\(х\ge-5\)
2)\(х\le-5\)
3)\(х\le5\)
4)\(х\ge5\)
Варианты ответов
- 1
- 2
- 3
- 4
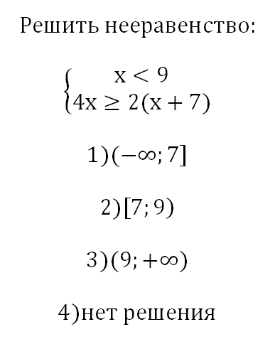
Вопрос 10

Варианты ответов
- 1
- 2
- 3
- 4
Получите комплекты видеоуроков + онлайн версии
Пройти тест
Сохранить у себя:
Тесты по алгебре 8 класс
0
369
Нравится
0


