Самостоятельная работа по теме корень n-oй степени
Список вопросов теста
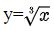
Вопрос 1
Укажите точки, которые принадлежат графику функции
Варианты ответов
- А(8;2)
- В(-8; 2)
- С(-1;1)
- D(-1;-1)
- E (-8; -2)
Вопрос 2
Вычислите значение выражения
Вопрос 3
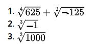
Установите соответствие между выражениями и их значениями
1.
1
2.
2
3.
3
4.
4
Варианты ответов
- -5
- 2
- 5
- не имеет смысла
Вопрос 4
Укажите выражения имеющие смысл
Варианты ответов
- 1
- 2
- 3
- 4
- 5
Вопрос 5
Найдите значение выражения:
Варианты ответов
- 7
- 25
- 1
- 0
- -1
Вопрос 6
При каких n, всегда имеет смысл выражение .
Варианты ответов
- положительных
- четных
- нечетных
- отрицательных
Вопрос 7
Найдите значение выражения
Вопрос 8
При каком значении а, всегда имеет смысл выражение ?
Варианты ответов
- при a<0
- при a≥0
- при a=0
- при a≤0
- при a>0
Вопрос 9
Установите соответствие между выражениями и их значениями.
1.
1
2.
2
3.
3
Варианты ответов
- 0
- 10
- -1


