Решение уравнений высших степеней
Список вопросов теста
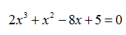
Вопрос 1
Запишите наименьший корень уравнения
. 
Если у данного уравнения только 1 корень, то в ответ записать его.
Вопрос 2
Выберите множители, на которые можно разложить многочлен
.
Варианты ответов
- (x-1)
- (x+1)
-

-

Вопрос 3
Составьте верное соответствие степени уравнения и максимальным количеством корней, которое может иметь это уравнение.
1.
5
2.
4
3.
3
4.
2
Варианты ответов
- 3
- 2
- 4
- 5
Вопрос 4
Выберите числа, которые будут корнями уравнения:
.
Варианты ответов
- 1
- -1
- 2
- -2
- 6
- -6
Вопрос 5
Выберите числа, которые будут корнями уравнения:
.
Варианты ответов
- 2.5
- -2.5
- -1
- 1
- -5
- 5
Вопрос 6
Выберите числа, которые будут корнями уравнения:
.
Варианты ответов
- 1; 3; 9
- -1; -3; -9
- нет решений
Вопрос 7
Сколько корней будет иметь уравнение:
?
Варианты ответов
- 0
- 1
- 2
- 3
- 4
Вопрос 8
Сколько корней будет иметь уравнение:
?
Варианты ответов
- 0
- 1
- 2
- 3
- 4
Вопрос 9
Укажите целые делители числа 5
Варианты ответов
- 1
- -1
- 2
- -2
- 5
- -5
Вопрос 10
Укажите натуральные делители числа 3:
Варианты ответов
- 1
- -1
- 3
- -3




